首页
考研
最新考研题库
中外美术史23新版
建筑类
二级建造师
一级建造师
一级造价工程师
监理工程师
安全工程师
一级消防工程师
消防设施操作员
医学类
主治类
执业药师
护师(初级)资格证考试
主管护师(中级)资格证考试
护士资格证考试
医师类
中药学类
金融类
基金从业资格
银行从业资格
证券从业资格
期货从业资格
银行招聘考试
财会类
初级经济师
中级经济师
初级会计师
中级会计师
注册会计师
税务师
资产评估师
教师类
中学教师笔试
小学教师笔试
幼儿教师笔试
幼儿结构化面试
幼儿专业面试
中小学结构化面试
学历提升
成考(专升本)
成考(高起本、高起专)
自考
网校课程
登录
注册好礼
我的主页
我的提问
我的回答
退出
当前位置:
首页
>
建设工程施工管理
>
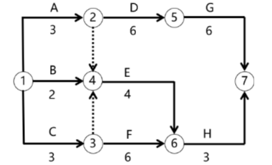
某工程双代号网络计划如下图所示,工作 E 最早完成时间和最迟完成时间分别是( )。
单选
某工程双代号网络计划如下图所示,工作 E 最早完成时间和最迟完成时间分别是( )。
A 6 和 8
B 6 和 12
C 7 和 8
D 7 和 12
正确答案
D
查看解析
搜索
相关试题
单选
为解决重大技术问题,在( )之后可增加技术设计。
A 方案设计 B 初步设计 C 扩初设计 D 施工图设计
查看
单选
关于平行承包模式特点的说法,正确的是( )。
A 不利于择优选择施工单位 B 有利于缩短建设工期 C 不利于控制工程质量 D 有利于控制工程造价
查看
单选
关于建设程序中各阶段工作的说法,错误的是( )。
A 在初步设计或技术设计的基础上进行施工图设计,使其达到施工安装的要求 B 工程开始拆除旧建筑物和搭建临时建筑物时即可算作工程的正式开工 C 生产准备阶段是由建设阶段转入生产经营阶段的重要衔接阶段 D 竣工验收是考核建设成果、检验设计和施工质量的关键步骤
查看
单选
关于工程项目管理组织机构特点的说法,正确的是( )。
A 矩阵制组织中项目成员受双重领导 B 职能制组织中指令统一且职责清晰 C 直线制组织中可实现专业化管理 D 强矩阵制组织中项目成员仅对职能经理负责
查看
单选
下列施工项目管理组织结构形式中,要求项目经理为“全能式”人才的是( )。
A 直线式 B 职能式 C 直线职能式 D 矩阵式
查看
单选
某施工组织结构如下图所示,该组织结构属于( )组织形式。
A 直线制 B 职能制 C 直线职能制 D 矩阵制
查看
单选
中等技术复杂程度且建设周期较长的工程项目,组建矩阵式项目管理组织结构时宜采用的形式是( )。
A 强矩阵式 B 平衡矩阵式 C 弱矩阵式 D 扁平矩阵式
查看
单选
根据《建设工程施工项目经理岗位职业标准》T/CCIAT0010--2019,施工项目经理具有的权限是( )。
A 组织施工合同签订 B 组织工程竣工验收 C 主持项目经理部工作 D 决定企业的资源投入
查看
单选
对于实行招标的建设工程,因法律法规政策变化引起合同价款调整的,调价基准日期一般为( )。
A 施工合同签订前28d B 施工合同签订前56d C 投标截止日前28d D 投标截止日前56d
查看
单选
某双代号网络计划中,工作M的最早开始时间和最迟开始时间分别为第12天和第15天,其持续时间为5天。工作M有3项紧后工作,它们的最早开始时间分别为第21天、第24
A 4 B 1 C 3 D 8
查看
刷题小程序
热门试卷
2022年二级建造师考试《建设工程施工管理》密训卷
2022年二级建造师考试《建设工程施工管理》冲刺卷(二)
2022年二级建造师考试《建设工程施工管理》冲刺卷(一)
2022年二级建造师考试《建设工程施工管理》模拟卷(三)
2022年二级建造师考试《建设工程施工管理》模拟卷(二)
2022年二级建造师考试《建设工程施工管理》模拟卷(一)
2022年二级建造师考试《建设工程施工管理》机考模拟演练卷(一)(符合2022年新版教材)
2022年二级建造师考试《建设工程施工管理》机考模拟演练卷(二)(符合2022年新版教材)
2022年二级建造师考试《建设工程施工管理》密训卷(符合2022年新版教材)
2022年二级建造师考试《建设工程施工管理》冲刺卷(二)(符合2022年新版教材)
二级建造师《建设工程施工管理》预测一
二级建造师《建设工程施工管理》预测二
二级建造师《建设工程施工管理》预测三
二级建造师《建设工程施工管理》预测四
二级建造师《建设工程施工管理》预测五