首页
考研
最新考研题库
中外美术史23新版
建筑类
二级建造师
一级建造师
一级造价工程师
监理工程师
安全工程师
一级消防工程师
消防设施操作员
医学类
主治类
执业药师
护师(初级)资格证考试
主管护师(中级)资格证考试
护士资格证考试
医师类
中药学类
金融类
基金从业资格
银行从业资格
证券从业资格
期货从业资格
银行招聘考试
财会类
初级经济师
中级经济师
初级会计师
中级会计师
注册会计师
税务师
资产评估师
教师类
中学教师笔试
小学教师笔试
幼儿教师笔试
幼儿结构化面试
幼儿专业面试
中小学结构化面试
学历提升
成考(专升本)
成考(高起本、高起专)
自考
网校课程
登录
注册好礼
我的主页
我的提问
我的回答
退出
当前位置:
首页
>
信息系统监理师
>
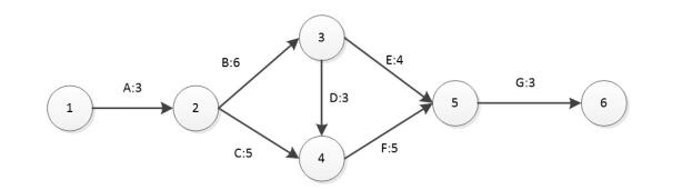
某工程计划如图所示,活动A从3月1日开始,活动E最迟应该在3月( )日开始。
单选
某工程计划如图所示,活动A从3月1日开始,活动E最迟应该在3月( )日开始。
A 9
B 11
C 12
D 13
正确答案
D
查看解析
搜索
相关试题
单选
( )是指以信息技术为主要手段建立的信息处理、传输、交换和分发的计算机网络系统。
A 信息资源系统 B 信息网络系统 C 信息应用系统 D 信息存储系统
查看
单选
在信息系统软件生存周期中,系统总目标应在( )阶段完成。
A 项目计划制订 B 需求分析 C 软件设计 D 软件测试
查看
单选
信息技术服务标准(ITSS)定义了IT服务能力的四个要素:( )。
A 需求、设计、开发、测试 B 人员、过程、技术、资源 C 数据、网络、设备、人员 D 规划、管理、设计、运维
查看
单选
人工智能的核心是机器学习,在机器学习过程中提供对错指示等导师信号,通过算法让机器自我减少误差的学习形式是( )。
A 监督学习 B 无监督学习 C 半监督学习 D 强化学习
查看
单选
在物联网架构中,二维码标签属于( )。
A 应用层 B 管理层 C 网络层 D 感知层
查看
单选
( )技术的优点是采取了灵活的路由选择体系,采用非面向连接的服务方式。
A MPLS B TCP/IP C 信元交换 D 帧中继
查看
单选
Internet网络服务中,应用层的WWW服务通信协议不包括( )。
A HTTP B HTML C ICMP D VRML
查看
单选
在信息网络系统的体系框架中,网络接入是( )平台的组成部分。
A 网络基础 B 网络开发 C 网络安全 D 网络服务
查看
单选
某计算机信息应用系统的运算模型以数据挖掘和数据仓库的( )为主,因此选择服务器时,应主要参考服务器的TPC-R和TPC-H指标。
A OLTP(联机事务处理) B WEB C OLAP(联机分析处理) D 视频点播
查看
单选
在信息网络系统的建设中,核心交换机选型时的主要技术指标需包括( )。 1、可扩展性 2、易于安装 3、网络可靠性 4、端口的不可扩容性 5、中继带宽的可扩容性
A 1、2、3 B 2、4、5 C 1、3、5 D 3、4、5
查看
刷题小程序
热门试卷
2019年下半年(上午)《信息系统监理师综合知识》真题
2019年上半年(上午)《信息系统监理师综合知识》真题
2020年(上午)《信息系统监理师综合知识》真题
2021年下半年(上午)《信息系统监理师综合知识》真题
2021年上半年(上午)《信息系统监理师综合知识》真题
2022年下半年(上午)《信息系统监理师综合知识》真题
2022年上半年(上午)《信息系统监理师综合知识》真题
2023年上半年(上午)《信息系统监理师综合知识》真题
2024年下半年(上午)《信息系统监理师综合知识》真题
2025年上半年(上午)《信息系统监理师综合知识》真题