首页
考研
最新考研题库
中外美术史23新版
建筑类
二级建造师
一级建造师
一级造价工程师
监理工程师
安全工程师
一级消防工程师
消防设施操作员
医学类
主治类
执业药师
护师(初级)资格证考试
主管护师(中级)资格证考试
护士资格证考试
医师类
中药学类
金融类
基金从业资格
银行从业资格
证券从业资格
期货从业资格
银行招聘考试
财会类
初级经济师
中级经济师
初级会计师
中级会计师
注册会计师
税务师
资产评估师
教师类
中学教师笔试
小学教师笔试
幼儿教师笔试
幼儿结构化面试
幼儿专业面试
中小学结构化面试
学历提升
成考(专升本)
成考(高起本、高起专)
自考
网校课程
登录
注册好礼
我的主页
我的提问
我的回答
退出
当前位置:
首页
>
信息系统监理师
>
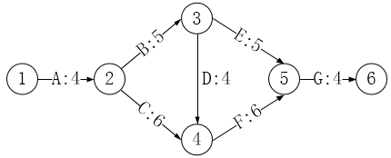
某工程活动路径图如下所示,弧上的标记为活动编码及需要的完成时间,该工程的关键路径为( )。
单选
某工程活动路径图如下所示,弧上的标记为活动编码及需要的完成时间,该工程的关键路径为( )。
A A-B-E-G
B A-C-F-G
C A-C-F-E-G
D A-B-D-F-G
正确答案
D
查看解析
搜索
相关试题
单选
在信息系统开发项目中,( )不属于需求分析阶段监理工作的质量控制要点。
A 需求分析报告 B 初步用户手册 C 系统接口说明 D 调研提纲
查看
单选
( )是物联网感知层中的信息采集技术。
A 通信技术 B 射频技术 C 数据挖掘 D 解析技术
查看
单选
数字证书系统是计算机网络系统集成体系框架中( )平台的内容。
A 网络 B 安全 C 通信 D 应用
查看
单选
防火墙、入侵监测和漏洞扫描系统是保障( )需要用到的网络安全产品。
A 设施安全 B 平台安全 C 通信安全 D 应用安全
查看
单选
以应用范围划分,云计算的应用不包含( )。
A 公有云 B 私有云 C 混合云 D 集成云
查看
单选
类库、构件、模板和框架是软件开发过程中常用的几种提高软件质量、降低开发工作量的软件复用技术。( )是面向对象的类库的扩展,并由一个应用相关联构件家族构成,这些构
A 构件 B 模式 C 框架 D 模板
查看
单选
信息系统项目监理活动的主要内容被概括为“四控、三管、一协调”,其中的“三管”不包括( )。
A 合同管理 B 信息管理 C 质量管理 D 安全管理
查看
单选
在监理工作程序中,应在( )之前确定总监理工程师。
A 选择监理单位 B 签订监理合同 C 组织监理前的三方会议 D 编制监理计划
查看
单选
为投标某行业大数据智能平台建设项目,某信息系统监理公司总监在投标书中编制了( ),重点阐述监理目的,初步规划将采取的监理措施。
A 监理大纲 B 监理规划 C 监理合同 D 质量保证计划
查看
单选
某综合性信息系统建设工程中,通信工程专业监理工程师编制了详尽的监理实施细则,内容包括:监理流程、监理的控制要点和目标、计划采用的监理技术和工具、针对工程异常情况
A 监理人员的责任范围 B 通信工程的专业特点 C 信息系统的监理目标 D 信息系统的工程概况
查看
刷题小程序
热门试卷
2019年下半年(上午)《信息系统监理师综合知识》真题
2019年上半年(上午)《信息系统监理师综合知识》真题
2020年(上午)《信息系统监理师综合知识》真题
2021年下半年(上午)《信息系统监理师综合知识》真题
2021年上半年(上午)《信息系统监理师综合知识》真题
2022年下半年(上午)《信息系统监理师综合知识》真题
2022年上半年(上午)《信息系统监理师综合知识》真题
2023年上半年(上午)《信息系统监理师综合知识》真题
2024年下半年(上午)《信息系统监理师综合知识》真题
2025年上半年(上午)《信息系统监理师综合知识》真题