首页
考研
最新考研题库
中外美术史23新版
建筑类
二级建造师
一级建造师
一级造价工程师
监理工程师
安全工程师
一级消防工程师
消防设施操作员
医学类
主治类
执业药师
护师(初级)资格证考试
主管护师(中级)资格证考试
护士资格证考试
医师类
中药学类
金融类
基金从业资格
银行从业资格
证券从业资格
期货从业资格
银行招聘考试
财会类
初级经济师
中级经济师
初级会计师
中级会计师
注册会计师
税务师
资产评估师
教师类
中学教师笔试
小学教师笔试
幼儿教师笔试
幼儿结构化面试
幼儿专业面试
中小学结构化面试
学历提升
成考(专升本)
成考(高起本、高起专)
自考
网校课程
登录
注册好礼
我的主页
我的提问
我的回答
退出
当前位置:
首页
>
(初级) 统计学和统计法基础知识
>
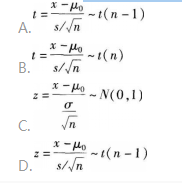
不定项选择题 某商场从一批袋装食品中随机抽取10袋,测得每袋重量(单位:克)分别为789,780,794,762,802
单选
不定项选择题 某商场从一批袋装食品中随机抽取10袋,测得每袋重量(单位:克)分别为789,780,794,762,802,813,770,785,810,806,假设重量服从正态分布,要求在5%的显著性水平下,检验这批食品平均每袋重量是否为800克。
选择的检验统计量是()。
A A
B B
C C
D D
E E
F F
G H
正确答案
A
查看解析
搜索
相关试题
单选
下列关于统计执法检查机构的说法错误的是()。
A 国家统计局设立法制工作机构(政策法规司),负责全国的统计执法检查工作 B 省及地市级统计执法检查机关应当设置专门的统计执法检查机构 C 县级统计执法检查机关可以根据工作需要,设置专门的统计执法检查机构 D 县级统计执法检查机关可以不设置专门的统计执法检查机构,不配备必要的统计执法检查员
查看
单选
地方统计调查项目,由()审批。
A 国家统计局 B 同级地方人民政府统计机构 C 同级地方人民政府 D 上一级地方人民政府统计机构
查看
单选
单选题 从10000个企业中随机抽取1%的企业调查其资金利用情况,已知总体的方差为25,在不重置抽样条件下,样本均值的标准差等于()。
A A B B C C D D E E
查看
单选
下列各项中属于统计法律的是()。
A 《中华人民共和国统计法实施细则》 B 《统计执法检查规定》 C 《中华人民共和国统计法》 D 《统计调查证管理办法》
查看
单选
下列各项中不属于居民实物福利范围的是()。
A 免费工作餐 B 免费班车 C 免费医疗保健 D 免费工作服装
查看
单选
根据《统计法》规定,统计机构和统计人员泄露在统计工作中知悉的调查对象个人信息的,所承担的最高法律责任是()。
A 警告或者通报 B 罚款 C 处分 D 刑事责任
查看
单选
下列指数中,不属于质量指数的有()。
A 价格指数 B 销售量指数 C 单位成本指数 D 劳动生产率指数
查看
单选
广义的统计法包含了所有规范统计活动的()。
A 统计法律、法规、规章及统计调查制度 B 统计法律、法规、规章及规范性文件 C 统计法律、法规、规章及统计标准 D 统计法律、法规、规章及统计调查项目
查看
单选
工业销售成品价值不包括()。
A 实际销售的成品价值 B 定货者来料加工的成品价值 C 实际销售的半成品价值 D 自制设备价值
查看
单选
为了调查某校学生的每月的生活费支出,先将所有的学生按性别分为两组,然后分别从这两组人中抽取一部分学生进行调查,这种调查方法属于()。
A 简单随机抽样 B 系统抽样 C 分层抽样 D 整群抽样
查看
刷题小程序
热门试卷
初级统计师《统计学和统计法基础知识》模拟试卷1
初级统计师《统计学和统计法基础知识》模拟试卷2
初级统计师《统计学和统计法基础知识》模拟试卷3
初级统计师《统计学和统计法基础知识》模拟试卷4
初级统计师《统计学和统计法基础知识》模拟试卷5
初级统计师《统计学和统计法基础知识》预测试卷1
初级统计师《统计学和统计法基础知识》预测试卷2
初级统计师《统计学和统计法基础知识》预测试卷3
初级统计师《统计学和统计法基础知识》预测试卷4
初级统计师《统计学和统计法基础知识》预测试卷5