首页
考研
最新考研题库
中外美术史23新版
建筑类
二级建造师
一级建造师
一级造价工程师
监理工程师
安全工程师
一级消防工程师
消防设施操作员
医学类
主治类
执业药师
护师(初级)资格证考试
主管护师(中级)资格证考试
护士资格证考试
医师类
中药学类
金融类
基金从业资格
银行从业资格
证券从业资格
期货从业资格
银行招聘考试
财会类
初级经济师
中级经济师
初级会计师
中级会计师
注册会计师
税务师
资产评估师
教师类
中学教师笔试
小学教师笔试
幼儿教师笔试
幼儿结构化面试
幼儿专业面试
中小学结构化面试
学历提升
成考(专升本)
成考(高起本、高起专)
自考
网校课程
登录
注册好礼
我的主页
我的提问
我的回答
退出
当前位置:
首页
>
(初级) 统计学和统计法基础知识
>
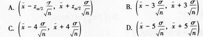
单选题 已知总体服从正态分布,且总体标准差σ,从总体中抽取样本容量为n的产品,测得其样本均值为x,在置信水平为1-a=9
单选
单选题 已知总体服从正态分布,且总体标准差σ,从总体中抽取样本容量为n的产品,测得其样本均值为x,在置信水平为1-a=95%下,总体均值的置信区间为( )
A A
B B
C C
D D
E E
正确答案
A
查看解析
搜索
相关试题
单选
《关于工资总额组成的规定》在性质属于( )
A 统计法律 B 法规性文件 C 统计行政法规 D 统计基本法
查看
单选
茄子的基期价格是1元/斤,数量是5斤,报告期价格是2元/斤,数量是15斤;白菜的基期价格是2元/斤,数量是10斤,报告期价格是3元/斤,数量是20斤,则这两种蔬
A 1 B 1.5 C 1.64 D 1.6
查看
单选
依照《行政处罚法》的规定,统计部门对给予( )处罚的案件应当依照当事人的申请组织听证
A 警告 B 罚款 C 较大数额罚款 D 通报批评
查看
单选
涉外调查许可证的有效期为( ),涉外调查机构需要延续涉外调查许可证的有效期的,应当在有效期满30日前向原颁证机关提出申请
A 一年 B 二年 C 三年 D 五年
查看
单选
研究如何利用样本数据来推断总体特征的统计学方法是( )
A 描述统计 B 推断统计 C 理论统计 D 应用统计
查看
单选
假设检验的依据是( )
A 小概率原理 B 中心极限定理 C 方差分析原理 D 总体分布
查看
单选
统计执法检查中,被处罚单位在接到处罚通知后,如果既不在法定期限内申请复议或向人民法院提起诉讼,又拒不执行的,由查处机关依法( )
A 强制执行 B 起诉 C 提请人民法院强制执行 D 与相对人协商解决
查看
单选
单选题 小样本情况下,当总体服从正态分布,总体方差未知时,总体均值检验的统计量为( )
A A B B C C D D E E
查看
单选
下列数列中属于时间数列的是( )
A 学生按学习成绩分组形成的数列 B 一个月内每天某一固定时点记录的气温按度数高低排列形成的序列 C 工业企业按产值高低形成的数列 D 降水量按时间先后顺序排列形成的数列
查看
单选
回归系数和相关系数的符号是一致的,其符号均可用来判断现象( )
A 线性相关还是非线性相关 B 正相关还是负相关 C 完全相关还是不完全相关 D 单相关还是复相关
查看
刷题小程序
热门试卷
初级统计师《统计学和统计法基础知识》模拟试卷1
初级统计师《统计学和统计法基础知识》模拟试卷2
初级统计师《统计学和统计法基础知识》模拟试卷3
初级统计师《统计学和统计法基础知识》模拟试卷4
初级统计师《统计学和统计法基础知识》模拟试卷5
初级统计师《统计学和统计法基础知识》预测试卷1
初级统计师《统计学和统计法基础知识》预测试卷2
初级统计师《统计学和统计法基础知识》预测试卷3
初级统计师《统计学和统计法基础知识》预测试卷4
初级统计师《统计学和统计法基础知识》预测试卷5