首页
考研
最新考研题库
中外美术史23新版
建筑类
二级建造师
一级建造师
一级造价工程师
监理工程师
安全工程师
一级消防工程师
消防设施操作员
医学类
主治类
执业药师
护师(初级)资格证考试
主管护师(中级)资格证考试
护士资格证考试
医师类
中药学类
金融类
基金从业资格
银行从业资格
证券从业资格
期货从业资格
银行招聘考试
财会类
初级经济师
中级经济师
初级会计师
中级会计师
注册会计师
税务师
资产评估师
教师类
中学教师笔试
小学教师笔试
幼儿教师笔试
幼儿结构化面试
幼儿专业面试
中小学结构化面试
学历提升
成考(专升本)
成考(高起本、高起专)
自考
网校课程
登录
注册好礼
我的主页
我的提问
我的回答
退出
当前位置:
首页
>
(中级) 统计基础理论及相关知识
>
不定项选择题 某课题组为了解金融业的工资水平及影响因素,通过问卷调查的方式获取了某金融机构258名员工的“年薪”(单位:
多选
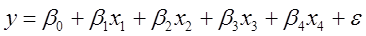
不定项选择题 某课题组为了解金融业的工资水平及影响因素,通过问卷调查的方式获取了某金融机构258名员工的“年薪”(单位:万元,y)、“受教育年限”(单位:年,x1)、“工龄”(单位:年,x2)、“任现职以来工作年限”(单位:年,x3)以及“累计接受业务培训次数”(单位:次,x4)的统计数据。现以“年薪”为因变量建立多元线性回归方程,初步设定为:
得到的回归结果如下:
表1 回归方程的输出结果
表2 回归分析的方差分析结果
表3 回归分析的参数输出结果
请根据上述资料回答下列问题:
如果α=0.05,根据表3给出的回归系数显著性检验结果,下列说法错误的是( )。(多选题)
A 变量x1对y的线性效果显著
B 无法拒绝β2=0的原假设
C 可以拒绝β4=0的原假设
D 变量x4对y的线性效果显著
正确答案
BCD
查看解析
搜索
相关试题
单选
将网络调查问卷发在微信朋友圈中,请朋友填写并转发,这种抽样方法是( )。
A 方便抽样 B 判断抽样 C 配额抽样 D 雪球抽样
查看
单选
下列测度指标中,常用来反映离中趋势的是( )。
A 众数 B 峰度系数 C 分位数 D 方差
查看
单选
下列不属于观测数据的是( )。
A 2018年我国国内生产总值为90.03万亿元 B 某市环境保护监测中心报告,其下辖的某监测子站在某日的空气质量指数为53 C 经问卷调查了解到,某居民小区业主对物业公司的满意度为83% D 田间种植试验发现,某小麦新品种亩产579.42公斤,比对照品种增产7.38%
查看
单选
为研究家庭消费结构,需要对比各类消费支出在家庭总支出中所占的比重,最适合的图形为( )。
A 饼图 B 雷达图 C 散点图 D 直方图
查看
单选
一个由2000名学生组成的样本中,学生的数学成绩与物理成绩的相关系数为80%,相关系数的检验结果拒绝了“不存在线性相关”的原假设,则( )。
A 学生数学成绩与物理成绩有高度正相关关系 B 其中只有400名学生的数学成绩与物理成绩不存在显著正相关关系 C 其中只有1600名学生的数学成绩与物理成绩有显著正相关关系 D 相关系数的检验结果说明有20%的学生数学成绩与物理成绩没有关联
查看
单选
在时间序列的乘法模型中,与原序列计量单位相同的是( )。
A 长期趋势T B 季节变动S C 循环变动C D 不规则变动I
查看
单选
下面关于计算综合指数的说法,错误的是( )。
A 拉氏指数主要受基期商品(产品)结构的影响 B 派氏指数主要受报告期商品(产品)结构的影响 C 实际中多采用派氏指数计算物价指数 D 编制数量指数时,一般将质量因素作为权数且固定在报告期
查看
单选
当苹果价格上升时,对香蕉的需求将( )
A 减少 B 增加 C 先增加后减少 D 先减少后增加
查看
单选
央行在公开市场上购买政府债券,将使得( )。
A 收入下降 B 就业减少 C 投资减少 D 利率下降
查看
单选
扩张性财政政策将导致( )。
A 税收增加 B 增加财政收入 C 财政赤字 D 利率下降
查看
刷题小程序
热门试卷
2017年中级统计师《统计基础知识理论及相关知识》真题
2018年中级统计师《统计基础知识理论及相关知识》真题
2019年中级统计师《统计基础知识理论及相关知识》真题
2020年中级统计师《统计基础知识理论及相关知识》真题
2021年中级统计师《统计基础知识理论及相关知识》真题
2022年中级统计师《统计基础知识理论及相关知识》真题
2023年中级统计师《统计基础知识理论及相关知识》真题
2024年中级统计师《统计基础知识理论及相关知识》真题