首页
考研
最新考研题库
中外美术史23新版
建筑类
二级建造师
一级建造师
一级造价工程师
监理工程师
安全工程师
一级消防工程师
消防设施操作员
医学类
主治类
执业药师
护师(初级)资格证考试
主管护师(中级)资格证考试
护士资格证考试
医师类
中药学类
金融类
基金从业资格
银行从业资格
证券从业资格
期货从业资格
银行招聘考试
财会类
初级经济师
中级经济师
初级会计师
中级会计师
注册会计师
税务师
资产评估师
教师类
中学教师笔试
小学教师笔试
幼儿教师笔试
幼儿结构化面试
幼儿专业面试
中小学结构化面试
学历提升
成考(专升本)
成考(高起本、高起专)
自考
网校课程
登录
注册好礼
我的主页
我的提问
我的回答
退出
当前位置:
首页
>
(中级) 统计基础理论及相关知识
>
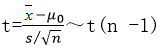
不定项选择题 某商场从一批袋装食品中随机抽取10袋,测得每袋重量(单位:克)分别为789.780,794,762,802
单选
不定项选择题 某商场从一批袋装食品中随机抽取10袋,测得每袋重量(单位:克)分别为789.780,794,762,802,813,770,785,810,806,假设重量服从正态分布,要求在5%的显著性水平下,检验这批食品平均每袋重量是否为800克。
根据上述资料请回答:
选择的检验统计量是()。
A
B
C
D
正确答案
A
查看解析
搜索
相关试题
单选
若q为商品销售量,p为商品价格,则综合指数∑q1p1/∑q1p0的实际经济意义是( )。
A 反映销售额的变动 B 反映价格变动对销售额的影响 C 反映销售量变动对销售额的影响 D 反映价格和销售量共同对销售额的影响
查看
单选
根据购买力平价理论,下列选项中不属于市场力量对购买力平价的偏离进行纠正的
A 国际经济交易存在的信息及运输费用 B 很多商品本身属于非贸易品 C 各国不同的经济增长水平 D 各种关税及非关税壁垒的存在
查看
单选
企业使用自有生产要素时所花费的成本,被称为( )。
A 表面成本 B 显性成本 C 隐含成本 D 沉没成本
查看
单选
根据IS-LM模型,以下说法错误的是()
A 政府购买增加提高了收入但降低了利率 B 政府税收增加降低了收入又降低了利率 C 货币供给增加提高了收入但降低了利率 D 政府购买、货币供给同时增加对利率的影响无法判断
查看
单选
下列方法中,属于推断统计的是( )。
A 搜集数据的方法 B 参数估计的方法 C 用图形展示数据的方法 D 分析样本数据特征的方法
查看
单选
对某地区从业人员月收入(元)的分组为5000以下、5000~10000、10000~30000、30000~50000以及50000以上。则第三组的上限、组中值
A 10000元,20000元,20000元 B 30000元,20000元,10000元 C 10000元,20000元,30000元 D 30000元,20000元,20000元
查看
单选
比较2020年北京与上海三次产业的结构,最适用的图形是( )。
A 折线图 B 饼图 C 散点图 D 环形图
查看
单选
公开市场业务是指()。
A 商业银行的信贷活动 B 商业银行在公开市场上买进或卖出有价证券 C 中央银行增加或减少对商业银行的贷款 D 中央银行在金融市场上买进或卖出有价证券
查看
单选
会计假设中的( )是对会计工作的空间范围所作的限定。
A 会计期间 B 会计主体 C 持续经营 D 货币计量
查看
单选
若两变量x和y存在不完全相关关系,对于自变量x的任何一个值,因变量y( )。
A 有惟一确定的值与之对应 B 有若干个值与之对应 C 所有数值都与之对应 D 没有数值与之对应
查看
刷题小程序
热门试卷
中级统计师《统计基础知识理论及相关知识》模拟卷1
中级统计师《统计基础知识理论及相关知识》模拟卷2
中级统计师《统计基础知识理论及相关知识》模拟卷3
中级统计师《统计基础知识理论及相关知识》模拟卷4
中级统计师《统计基础知识理论及相关知识》模拟卷5
中级统计师《统计基础知识理论及相关知识》模拟卷6
中级统计师《统计基础知识理论及相关知识》模拟卷7
中级统计师《统计基础知识理论及相关知识》模拟卷8
中级统计师《统计基础知识理论及相关知识》预测卷1
中级统计师《统计基础知识理论及相关知识》预测卷2
中级统计师《统计基础知识理论及相关知识》预测卷3
中级统计师《统计基础知识理论及相关知识》预测卷4