首页
考研
最新考研题库
中外美术史23新版
建筑类
二级建造师
一级建造师
一级造价工程师
监理工程师
安全工程师
一级消防工程师
消防设施操作员
医学类
主治类
执业药师
护师(初级)资格证考试
主管护师(中级)资格证考试
护士资格证考试
医师类
中药学类
金融类
基金从业资格
银行从业资格
证券从业资格
期货从业资格
银行招聘考试
财会类
初级经济师
中级经济师
初级会计师
中级会计师
注册会计师
税务师
资产评估师
教师类
中学教师笔试
小学教师笔试
幼儿教师笔试
幼儿结构化面试
幼儿专业面试
中小学结构化面试
学历提升
成考(专升本)
成考(高起本、高起专)
自考
网校课程
登录
注册好礼
我的主页
我的提问
我的回答
退出
当前位置:
首页
>
(中级) 统计工作实务
>
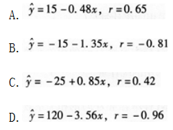
单选题 下列回归方程中肯定错误的是( )。
单选
单选题 下列回归方程中肯定错误的是( )。
A A
B B
C C
D D
E E
正确答案
A
查看解析
搜索
相关试题
单选
某管理局对其所属的企业的生产计划完成百分比采用如下分组,其中最能反映事物本质差异的分组是( )。
A A.80%-89%,90%-99%,100%-109%,110%以上 B B.80%以下,80.1%-90%,90.1%-100%,100.1%-110% C C.90%以下,90%-100%,100%-110%,110%以上 D D.85%以下,85%-95%,95%-105%,105%以上
查看
单选
在显著水平为a的假设检验中存在两类错误,其中如果拒绝原假设,则可能犯第一类错误,第一类错误的概率是( )。
A 最大不超过a B 等于a C 最小不超过a D 不确定
查看
单选
某班共有60名学生,在期末的统计学考试中,男生的平均考试成绩为75分,标准差为6分;女生的平均考试成绩为80分,标准差为6分。如果该班的男女学生各占一半,则全班
A 65 B 75.5 C 77.5 D 80
查看
单选
下述关于确定样本量的几种说法中,正确的是( )。
A 样本量与置信水平成反比 B 样本量与总体方差成反比 C 样本量与允许的估计误差成反比 D 样本量与允许的估计误差的平方成反比
查看
单选
某乡镇2012年社会商品零售额为12000万元,2015年增至15600万元,这四年中物价上涨了4%,则商品销售量指数为( )。
A 130% B 104% C 80% D 125%
查看
单选
若各年环比增长速度保持不变,则各年增长量( )。
A 逐年增加 B 逐年减少 C 保持不变 D 不能确定
查看
单选
在时间序列加法模型中( )。
A 假定T、S、C、I四种变动因素相互独立 B 假定T、S、C、I四种变动因素相互影响 C 假定T、S、C三种变动因素相互独立 D 假定T、S、C三种变动因素相互影响
查看
单选
A 时间每增加一个单位,Y增加0.86个单位 B 时间每增加一个单位,Y减少0.86个单位 C 时间每增加一个单位,Y平均增加0.86个单位 D 时间每增加一个单位,Y平均减少0.86个单位
查看
单选
相关系数r的取值范围是( )。[2005年中级真题]
A -1<r<1 B 0≤r≤1 C -1≤r≤1 D |r|>1
查看
单选
在单侧检验中,给定显著性水平a和P值,可以拒绝原假设的是( )。
A P≥a B P<a C P>a D P=a=0
查看
刷题小程序
热门试卷
中级统计师《统计工作实务》模拟卷1
中级统计师《统计工作实务》模拟卷2
中级统计师《统计工作实务》模拟卷3
中级统计师《统计工作实务》模拟卷4
中级统计师《统计工作实务》预测卷1
中级统计师《统计工作实务》预测卷2
中级统计师《统计工作实务》预测卷3
中级统计师《统计工作实务》预测卷4
中级统计师《统计工作实务》预测卷5
中级统计师《统计工作实务》预测卷6