主伐时蓄积量M=225(立方米/公顷)
主伐时杉原木净收益A1=W1-C1-F1
=1 150-7÷0.2-9-180-20-1 150×(1%+3%+2%)-180×15%
=810(元/立方米)
主伐时杉综合材净收益A2=W2-C2-F2
=1 000-7÷0.5-9-180-20-1 000×(1%+3%+2%)-180×15%
=690(元/立方米)
间伐时杉综合材净收益Aa=Wa-Ca-Fa
=950-20-9-200-20-950×(1%+3%+2%)-200×15%
=614(元/立方米)
主伐净收益Au=M?(f1?A1+f2?A2)=225×(0.2×810+0.5×690)
=114 075(元/公顷)
间伐收益=12×614=7368(元/公顷)
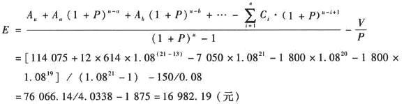
由此可计算每公顷林地评估值

该小班林地使用权(无限期)评估值为5×16 982.19=84 910.95元。