首页
考研
最新考研题库
中外美术史23新版
建筑类
二级建造师
一级建造师
一级造价工程师
监理工程师
安全工程师
一级消防工程师
消防设施操作员
医学类
主治类
执业药师
护师(初级)资格证考试
主管护师(中级)资格证考试
护士资格证考试
医师类
中药学类
金融类
基金从业资格
银行从业资格
证券从业资格
期货从业资格
银行招聘考试
财会类
初级经济师
中级经济师
初级会计师
中级会计师
注册会计师
税务师
资产评估师
教师类
中学教师笔试
小学教师笔试
幼儿教师笔试
幼儿结构化面试
幼儿专业面试
中小学结构化面试
学历提升
成考(专升本)
成考(高起本、高起专)
自考
网校课程
登录
注册好礼
我的主页
我的提问
我的回答
退出
当前位置:
首页
>
(环评)技术方法
>
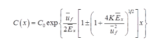
河口水质模型的解析解如下: 该模型的类型是( )。
单选
河口水质模型的解析解如下:
该模型的类型是( )。
A 零维稳态模型
B 一维动态模型
C 零维动态模型
D 一维稳态模型
正确答案
D
查看解析
搜索
相关试题
单选
某铁路专用线穿过2类声环境功能区,在居民区测得的夜间等效声级为57dB(A),居民区声环境评价结果正确的是( )。
A 达标 B 超标2dB(A) C 超标7dB(A) D 超标12dB(A)
查看
单选
高速公路的建设可能引发的生态风险主要是( )。
A 植被破坏 B 水土流失 C 移民安置 D 生物入侵
查看
单选
某企业厂界背景噪声监测结果为50dB(A),企业两个声源单个开启时在厂界测得的声级均值为53dB(A)(含背景噪声值),该企业厂界噪声排放值为( )。
A 53dB(A) B 54.8dB(A) C 56dB(A) D 57dB(A)
查看
单选
下列地下水污染防治技术中,不属于水力控制技术的是( )。
A 可渗透反应墙技术 B 抽水系统控制技术 C 注水系统控制技术 D 水动力屏障系统控制技术
查看
单选
含尘废气中水汽接近饱和,去除其中颗粒物的使用工艺技术是( )。
A 洗涤 B 吸附 C 布袋除尘 D 旋风分离
查看
单选
建设项目竣工环境保护验收实施( )管理。
A 分级 B 分类 C 分层次 D 分区域
查看
单选
煤气化单元收到基煤用量1104.1t/a,煤质分析数据显示收到基水分24%、空干基水分14%、硫含量0.61%,进入气相中的硫年排放量为( )。
A 901kg/a B 1901kg/a C 4761.5kg/a D 5951.9kg/a
查看
单选
下列关于含水层渗透系数K与含水层介质粒径d和不同水质之间关系的说法中,正确的是( )
A d越小,K越大 B d越大,K越大 C K与d无关,与水黏滞性相关 D K与d相关,与水黏滞性无关
查看
单选
进行土壤环境现状评价时,将污染物实测值与质量标准比较,得到的一个指数,指数小则污染轻,指数大则污染重,此方法为( )。
A 单污染指数法 B 累积指数法 C 污染分担率评价法 D 内梅罗污染指数评价法
查看
单选
下列野生动物中,属于国家Ⅰ级重点保护野生动物的是( )。
A 猕猴 B 巨蜥 C 小熊猫 D 穿山甲
查看
刷题小程序
热门试卷
环境影响评价工程师《技术方法》模拟卷1
环境影响评价工程师《技术方法》模拟卷2
环境影响评价工程师《技术方法》模拟卷3
环境影响评价工程师《技术方法》模拟卷4
环境影响评价工程师《技术方法》模拟卷5
环境影响评价工程师《技术方法》预测卷1
环境影响评价工程师《技术方法》预测卷2
环境影响评价工程师《技术方法》预测卷3
环境影响评价工程师《技术方法》预测卷4
环境影响评价工程师《技术方法》预测卷5