首页
考研
最新考研题库
中外美术史23新版
建筑类
二级建造师
一级建造师
一级造价工程师
监理工程师
安全工程师
一级消防工程师
消防设施操作员
医学类
主治类
执业药师
护师(初级)资格证考试
主管护师(中级)资格证考试
护士资格证考试
医师类
中药学类
金融类
基金从业资格
银行从业资格
证券从业资格
期货从业资格
银行招聘考试
财会类
初级经济师
中级经济师
初级会计师
中级会计师
注册会计师
税务师
资产评估师
教师类
中学教师笔试
小学教师笔试
幼儿教师笔试
幼儿结构化面试
幼儿专业面试
中小学结构化面试
学历提升
成考(专升本)
成考(高起本、高起专)
自考
网校课程
登录
注册好礼
我的主页
我的提问
我的回答
退出
当前位置:
首页
>
(环评)技术方法
>
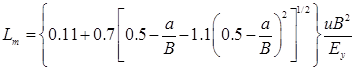
河流混合过程段长度Lm的计算式如下,其中a为( )。
单选
河流混合过程段长度Lm的计算式如下,其中a为( )。
A 水面宽度
B 断面流速
C 排放口到岸边的距离
D 污染物横向扩散系数
正确答案
C
查看解析
搜索
相关试题
单选
某热电联声项目的中水泵被识别为主要噪声源,水泵声源源强表述正确的是( )。
A 距离水泵1m处的A计权声压级为85dB(A) B 距离水泵1m处的有效感觉噪声级为85dB(A) C 距离水泵1m处的线性连续声压级为85dB(A) D 距离水泵1m处的计权声级连续感觉噪声级为85dB(A)
查看
单选
某电场建设项目开展声环境影响评价,设定单台风机值A计权声功率为105dB(A)。在只考虑几何发散的情况下,风电机组位于自由声场的情况下,则单台风电机组300m处
A 44.5dB(A) B 47.5dB(A) C 55.5dB(A) D 58.5dB(A)
查看
单选
某天然气输出项目开展声环境影响评价,厂房长度为35m,站内输气管道中心垂直路10m处的声压级,经查询资料,类似输气管道1m处的声压级为101dB(A),则距该管
A 81dB(A) B 86dB(A) C 91dB(A) D 101dB(A)
查看
单选
某城市轨道建设项目开展声环境影响评价,受地面道路声源影响的声环境保护目标处昼间噪声现状监测指数为51.2dB(A),预计该项目建成后声环境保护目标处昼间噪声值为
A 51.2dB(A) B 52.1dB(A) C 53.0dB(A) D 54.7dB(A)
查看
单选
某油田建设项目开展声环境影响评价,污水泵位于房间地面中心,用计算模型计算污水泵一倍频率声压时,计算模型中合适的Q值是( )。
A 1 B 2 C 4 D 8
查看
单选
某项目区地下水为河间洼地无隙潜水含水层,地下水埋藏条件简单,河流常年流水,地下水评价等级为一级,则地下水流模拟模型中,河流边界可概化为( )。
A 隔水边界 B 零通量边界 C 定水位边界 D 已知流量边界
查看
单选
某大型水库需建设项目预测坝前断面水温,则该项目地表水环境影响预测选用的水质数学模型是( )。
A 零维模型 B 纵向一维模型 C 平面二维模型 D 立面二维模型
查看
单选
某拟建项目的废水排放量为0.5m3/s,排入的河流常年流量是2m3/s,河流BOD5现状浓度3.2mg/L(BOD5环境质量标准限值4mg/L)。河流完全混合不
A 4.8mg/L B 5.2mg/L C 5.4mg/L D 6.0mg/L
查看
单选
某新建工业项目拟开展环境空气质量现状补充监测,日平均浓度有效采样时间必须24小时连续采样的监测因子是( )。
A BaP B CO C PM2.5 D PM10
查看
单选
下列工程建设生态影响程度判定中,正确的是( )。
A 机场施工需城市河道临时改道,施工后河道恢复原状,为无生态影响 B 项目占用绝大部分重要物种天然集中分布区,为强生态影响 C 桥梁施工临时截流导致城市景观河道变窄,为中度生态影响 D 公路项目占用少量农田,为中度生态影响
查看
刷题小程序
热门试卷
2019年环境影响评价工程师《技术方法》真题精选
2020年环境影响评价工程师《技术方法》真题精选
2021年环境影响评价工程师《技术方法》真题精选
2022年环境影响评价工程师《技术方法》真题精选
2023年环境影响评价工程师《技术方法》真题精选
2024年环境影响评价工程师《技术方法》真题精选
2025年环境影响评价工程师《技术方法》真题精选