首页
考研
最新考研题库
中外美术史23新版
建筑类
二级建造师
一级建造师
一级造价工程师
监理工程师
安全工程师
一级消防工程师
消防设施操作员
医学类
主治类
执业药师
护师(初级)资格证考试
主管护师(中级)资格证考试
护士资格证考试
医师类
中药学类
金融类
基金从业资格
银行从业资格
证券从业资格
期货从业资格
银行招聘考试
财会类
初级经济师
中级经济师
初级会计师
中级会计师
注册会计师
税务师
资产评估师
教师类
中学教师笔试
小学教师笔试
幼儿教师笔试
幼儿结构化面试
幼儿专业面试
中小学结构化面试
学历提升
成考(专升本)
成考(高起本、高起专)
自考
网校课程
登录
注册好礼
我的主页
我的提问
我的回答
退出
当前位置:
首页
>
(环评)技术方法
>
不定项选择题 厂房内边界处声压级计算公式为 下列与厂房内边界处声压级相关的因素有( )。
多选
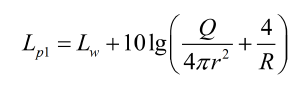
不定项选择题 厂房内边界处声压级计算公式为
下列与厂房内边界处声压级相关的因素有( )。
A 噪声源位置
B 噪声源至室内边界处距离
C 厂房内表面积
D 厂房内表面平均吸声系数
正确答案
ABCD
查看解析
搜索
相关试题
单选
已知第i类车等效声级预测模型, 当车流量大于300辆小时,则从车道中心线到预测点距离r可以预测的是( )。
A 1m B 5m C 7.5m D 15m
查看
单选
某洗衣粉项目现二期工程拟开工建设,工程内容包含主要噪声源为干燥塔噪声,该干燥塔与一期已竣工验收并稳定运行的干燥塔工程参数一致,该干燥塔噪声源强计算可通过( )获
A 干燥塔尺寸 B 参考一期测量结果 C 干燥塔进出压力差 D 干燥塔流速
查看
单选
风机的尺寸10m×10m,风机外侧1000Hz处测得的声压级为85dB(A),风机中心点处1000Hz的声功率级( )dB(A)。
A 85 B 95 C 65 D 105
查看
单选
某建设项目燃烧产生的废气污染物包括二噁英,以下选项中,( )属于该建设项目的物料。
A 苯胺 B 1,4二氯苯 C 丙烯酸 D 二甲基二硫醚
查看
单选
某企业工艺流程图如下,在进行物料流分析中下列环节不属于水损耗的是( )。
A 蒸发损失 B 风吹损失 C 供水 D 排污水
查看
单选
工业企业声环境影响评价中提出的采用隔振措施降低设备噪声影响的方案,其降低的噪声类型是( )。
A 机械噪声 B 空气动力噪声 C 传递噪声 D 结构噪声
查看
单选
下列隔声屏障的评价量中,表示实际降噪效果的评价量是( )。
A 传声损失 B 平均吸声量 C 插入损失 D 计权隔声量
查看
单选
如图,某声源与预测点之间有一声屏障,以下选项中,( )可以正确表示声程差。
A OS+SP-OP B OP+SP-OS C SO+OP-OA D SO+OP-SP
查看
单选
用空气(含氧量20%)氧化法氧化烟气脱硫废液中的亚硫酸钠,氧利用率25%,当进料空气量为1000m3/h时,氧化尾气的量约是( )
A 1000m3/h B 950m3/h C 800m3/h D 750m3/h
查看
单选
以下选项中,可以通过水吸收工艺进行回收的是( )。
A 甲醇 B 苯 C 甲苯 D 二噁英
查看
刷题小程序
热门试卷
2019年环境影响评价工程师《技术方法》真题精选
2020年环境影响评价工程师《技术方法》真题精选
2021年环境影响评价工程师《技术方法》真题精选
2022年环境影响评价工程师《技术方法》真题精选
2023年环境影响评价工程师《技术方法》真题精选
2024年环境影响评价工程师《技术方法》真题精选
2025年环境影响评价工程师《技术方法》真题精选