1.指出上述招标程序中的不妥和不完善之处。
答:上述招标程序中的不妥和不完善之处有:
第(3)条发出招标邀请书不妥,应为发布(或刊登)招标通告(或公告)。
第(4)条将资格预审结果仅通知合格的申请投标人不妥,资格预审的结果应通知到所有 投标人。
第(6)条召开投标预备会前应先组织投标单位踏勘现场。
第(8)条制定标底和评标、定标办法不妥,该工作不应安排在此处进行。
2.该工程共有7家投标人投标,在开标过程中,出现如下情况:
(1)其中1家投标人的投标书没有按照招标文件的要求进行密封和加盖企业法人印章, 经招标监督机构认定,该投标做无效投标处理。
(2)其中1家投标人提供的企业法定代表人委托书是复印件,经招标监督机构认定,该投标做无效投标处理。
(3)开标人发现剩余的5家投标人中,有1家的投标报价与标底价格相差较大,经现场 商议,也作为无效投标处理。
指明以上处理是否正确,并说明原因。
答:第(1)条的处理是正确的,投标书必须密封和加盖企业法人印章。
第(2)条的处理是正确的,企业法定代表人的委托书必须是原件。
第(3)条的处理是不正确的,投标报价与标底价格有较大差异不能作为判定是否为无效投标的依据。
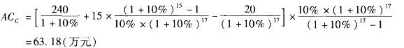
3.假设该工程有效标书经评标专家的评审,其中A、B、C三家投标单位投标方案的 有关参数,见表1。
若基准折现率为10%,且已知A方案寿命期年费用为72.40万元;B方案寿命期年费用为69. 93万元。试计算C方案寿命期年费用,并利用年费用指标对三个投标方案的优劣
进行排序(小数点后保留两位)。
答:C方案的年费用为:

由以上计算结果可知,C方案的年费用最低,为最优方案;其次是B方案;4方案的费用最高,在三个方案中是最差的。 ’
4.建设单位从建设项目投资控制角度考虑,倾向于采用固定总价合同。固定总价合同具有什么特点?
答:固定总价合同的特点包括:
(1)便于业主(或建设单位)投资的控制;
(2)对承包人来说要承担较大的风险(或发包人承担的风险较小);
(3)应在合同中确定一个完成项目总价’
(4)有利于在评标时确定报价最低的承包商。