首页
考研
最新考研题库
中外美术史23新版
建筑类
二级建造师
一级建造师
一级造价工程师
监理工程师
安全工程师
一级消防工程师
消防设施操作员
医学类
主治类
执业药师
护师(初级)资格证考试
主管护师(中级)资格证考试
护士资格证考试
医师类
中药学类
金融类
基金从业资格
银行从业资格
证券从业资格
期货从业资格
银行招聘考试
财会类
初级经济师
中级经济师
初级会计师
中级会计师
注册会计师
税务师
资产评估师
教师类
中学教师笔试
小学教师笔试
幼儿教师笔试
幼儿结构化面试
幼儿专业面试
中小学结构化面试
学历提升
成考(专升本)
成考(高起本、高起专)
自考
网校课程
登录
注册好礼
我的主页
我的提问
我的回答
退出
当前位置:
首页
>
电子商务师
>
问答题 小张等同学在大学生创新活动中承担一个小型电子商务系统的项目开发,在老师的指导下,按模块化的设计方法进行开发,为保
分析
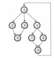
问答题 小张等同学在大学生创新活动中承担一个小型电子商务系统的项目开发,在老师的指导下,按模块化的设计方法进行开发,为保证开发质量,专门安排了同学负责测试工作。6、在一个模块完成后,进行测试应该从______、______、______、______、______五个方面入手。7、在进行功能测试和性能测试时,完成了数据库测试、连接速度测试、负载测试、表单测试等。其中:属于功能测试的是______、______;属于性能测试的是______、______。8、某程序的控制流图如图所示。共有4条独立路径,其中路径1:1→2→9路径2:______路径3:______路径4:______
9、系统测试是针对系统中各个组成部分进行的综合性检验。______用于测试软件与先前发布过的版本的兼容情况:______检查系统对非法侵入的防范能力;______检查系统正常运行的能力和用户接受的程度。备选答案:A.恢复测试 B.配置测试 C.安全性测试D.文档测试 E.强度测试 F.可用性测试
正确答案
6、(1)模块接口 (2)局部数据结构 (3)边界条件(4)执行路径 (5)错误处理 7、(1)数据库测试 (2)表单测试(3)连接速度测试 (4)负载测试 8、(1)1→3→9(2)1→4→7→10→1→2→9或1→4→7→10→1→3→9(3)1→4→8→10→1→2→9或1→4→8→10→1→3→9 9、(1)B (2)C (3)F
本题考查电子商务系统测试的工作流程以及测试所涉及到的方法和步骤。模块测试也称为单元测试,是通过对每个最小的软件模块进行测试,对源代码的每一个程序单元实行测试,检查各个程序模块是否正确地实现了规定的功能,确保其能正常工作。单元测试主要针对程序模块进行测试,主要有5个任务:模块接口、局部数据结构、边界条件、执行路径和错误处理。电子商务系统的测试可以分为功能测试和性能测试两大方面。功能测试指测试软件各个功能模块是否正确,逻辑是否正确。对于电子商务系统而言,功能测试主要是确保系统与用户之间的交互功能可以正确执行。性能测试是通过自动化的测试工具模拟多种正常、峰值以及异常负载条件来对系统的各项性能指标进行测试。本题中,数据库测试和表单测试主要测试电子商务系统能否满足要求的功能,属于功能测试。连接速度测试、负载测试主要测试系统的性能指标,属于性能测试。基本路径测试法是在程序控制流图的基础上,通过分析控制构造的环路复杂性,导出基本可执行路径的集合,从而设计测试用例的方法。它是白盒测试的重要方法。独立路径是指程序中至少引入了一个新的处理语句集合或一个新条件的程序通路,即独立路径必须至少包含一条在本次定义路径之前不曾用过的边。系统测试将软件与整个系统的硬件、外设、支持软件、数据和人员等结合起来,以需求规格说明为依据,在实际运行环境下进行测试。其中:恢复测试主要检查系统的容错能力。当系统出错时,能否在指定时间间隔内修正错误并重新启动系统。恢复测试首先要采用各种办法强迫系统失败,然后验证系统是否能尽快恢复。压力测试又称为强度测试,是在强负载(加大数据量、大量并发用户等)下的测试,用于查看应用系统在峰值使用情况下的操作行为。目的是发现系统的功能隐患、系统是否具有良好的容错能力和可恢复能力。安全性测试是测试系统在应付非授权的内部/外部访问、非法侵入或故意的损坏时的系统防护能力,检验系统有能力使可能存在的内/外部的伤害或损害的风险限制在可接受的水平内。兼容性/配置测试用于测试软件与先前发布过的版本、有依赖关系的外部软件、运行的系统的各种版本和硬件平台的不同配置的兼容情况。文档测试是指对软件开发、测试和维护过程中产生的所有文档的测试,包括对需求规格分析说明书、详细设计报告、系统设计报告、用户手册以及与系统相关的一切文档的审阅和评测。可用性是指系统正常运行的能力和用户接受的程度,一般用如下公式表示。可用性=平均正常工作时间/(平均正常工作时间+平均修复时间)文档测试是指对软件开发、测试和维护过程中产生的所有文档的测试,包括对需求规格分析说明书、详细设计报告、系统设计报告、用户手册以及与系统相关的一切文档的审阅和评测。
查看解析
搜索
相关试题
单选
在Word编辑状态下,将光标移至文本行首左侧空白处呈“ 形状时,单击鼠标左键可以选中(请作答此空),按下______键可以保存当前文档。
A 单词 B 一行 C 一段落 D 全文
查看
单选
在Word编辑状态下,将光标移至文本行首左侧空白处呈“ 形状时,单击鼠标左键可以选中( ),按下(请作答此空)键可以保存当前文档。
A Ctrl+S B Ctrl+D] C Ctrl+H D Ctrl+K
查看
单选
用Excel制作的学生计算机文化基础课程成绩表如下图所示。若学生成绩小于60分,需要在对应的备注栏填“不及格”;若学生成绩大于59分,小于79,需要在对应的备注
A IN(0<=c3,c3<60) B AND(0<=c3,c3<60) C "IN(0<=c3,c3<60)" D "AND(0<=c3,c3<60)"
查看
单选
用Excel制作的学生计算机文化基础课程成绩表如下图所示。若学生成绩小于60分,需要在对应的备注栏填“不及格”;若学生成绩大于59分,小于79,需要在对应的备注
A IF(IN(59<c3,c3<79),"及格","良好") B "IF(IN(59<c3,c3<79),'及格','良好')" C IF(AND(59<c3,c3<79),"及格","良好") D "IF(AND(59<c3,c3<79),'及格','良好')"
查看
单选
用来指出下一条待执行指令地址的寄存器是______。
A 程序计数器 B 通用寄存器 C 指令寄存器 D 状态寄存器
查看
单选
构成运算器的部件中,最核心的是______。
A 数据总线 B 累加器 C 算术逻辑单元 D 状态寄存器
查看
单选
Cache的作用是______。
A 处理中断请求并实现内外存的数据交换 B 解决CPU与主存间的速度匹配问题 C 增加外存容量并提高外存访问速度 D 增加主存容量并提高主存访问速度
查看
单选
以下文件中,______是图像文件。
A marry.wps B marry.htm C marty.jpg D marry.mp3
查看
单选
掉电后存储在______中的数据会丢失。
A U盘 B 光盘 C ROM D RAM
查看
单选
计算机系统中,显示器属于______。
A 感觉媒体 B 传输媒体 C 表现媒体 D 存储媒体
查看
刷题小程序
热门试卷
《电子商务设计师》模拟卷1
《电子商务设计师》模拟卷2
《电子商务设计师》模拟卷3
《电子商务设计师》预测卷1
《电子商务设计师》预测卷2