首页
考研
最新考研题库
中外美术史23新版
建筑类
二级建造师
一级建造师
一级造价工程师
监理工程师
安全工程师
一级消防工程师
消防设施操作员
医学类
主治类
执业药师
护师(初级)资格证考试
主管护师(中级)资格证考试
护士资格证考试
医师类
中药学类
金融类
基金从业资格
银行从业资格
证券从业资格
期货从业资格
银行招聘考试
财会类
初级经济师
中级经济师
初级会计师
中级会计师
注册会计师
税务师
资产评估师
教师类
中学教师笔试
小学教师笔试
幼儿教师笔试
幼儿结构化面试
幼儿专业面试
中小学结构化面试
学历提升
成考(专升本)
成考(高起本、高起专)
自考
网校课程
登录
注册好礼
我的主页
我的提问
我的回答
退出
当前位置:
首页
>
(银行招聘) 职业能力测验
>
单选题
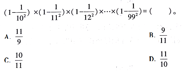
单选
单选题
A A
B B
C C
D D
E E
正确答案
C
查看解析
搜索
相关试题
单选
The fact that they have changed, and are changing their lives,( )an encouragemen
A were B was C are D is
查看
单选
The depattment of agicullure has promised to help facilitate the entry of Philip
A has been closed B had closed C had been closed D has closed
查看
单选
The social media companies have largely( ) the characteristics of a public squar
A take in B take up C take on D take over
查看
单选
The test flight also gathered ( )inside the cabin during the flight, including t
A infrastructure B measurements C disclosures D processes
查看
单选
Many Chinese companies can count on govemment subsidies to tide them over when t
A seek assistance B make a change C meet the demands D tum a profit
查看
单选
6. Nowadays, people with above average credit scores are unlikely to () their mo
A give up B defer to C pay off D default on
查看
单选
I think the updated law allows the employer to actually gauge the salary on a wo
A compare B comparing C to compare D being compared
查看
单选
Despite the rosy forecast, more analysts are pointing to worrying signs that wit
A contraction B consolidation C concession D recession
查看
单选
Presidents ( ) when economic numbers are good and they point out that we all bla
A take the blame B take for granted C take an oath D. take credit
查看
单选
2019年3月14日,国家市场监管总局近日制定下发《关于整合建设( )行政执法体系更好服务市场监管执法的意见》,明确要求今年12月底前,整合原有投诉举报五条热线
A 12331;12331 B 12365;12365 C 12358;12358 D 12315;12315
查看
刷题小程序
热门试卷
2019年《中国银行》(秋招)校园招聘真题
2020年《中国银行》(秋招)校园招聘真题
2020年《中国银行》(春招)校园招聘真题
2021年《中国银行》(秋招)校园招聘真题
2021年《中国银行》(春招)校园招聘真题
2022年《中国银行》(秋招)校园招聘真题
2022年《中国银行》(春招)校园招聘真题
2023年《中国银行》校园招聘真题
2024年《中国银行》(秋招)校园招聘真题
2024年《中国银行》(春招)校园招聘真题
2025年《中国银行》校园招聘真题
2019年《工商银行》(秋招)校园招聘真题
2019年《工商银行》(春招)校园招聘真题