首页
考研
最新考研题库
中外美术史23新版
建筑类
二级建造师
一级建造师
一级造价工程师
监理工程师
安全工程师
一级消防工程师
消防设施操作员
医学类
主治类
执业药师
护师(初级)资格证考试
主管护师(中级)资格证考试
护士资格证考试
医师类
中药学类
金融类
基金从业资格
银行从业资格
证券从业资格
期货从业资格
银行招聘考试
财会类
初级经济师
中级经济师
初级会计师
中级会计师
注册会计师
税务师
资产评估师
教师类
中学教师笔试
小学教师笔试
幼儿教师笔试
幼儿结构化面试
幼儿专业面试
中小学结构化面试
学历提升
成考(专升本)
成考(高起本、高起专)
自考
网校课程
登录
注册好礼
我的主页
我的提问
我的回答
退出
当前位置:
首页
>
(银行招聘) 职业能力测验
>
单选题
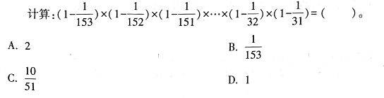
单选
单选题
A A
B B
C C
D D
E E
正确答案
C
查看解析
搜索
相关试题
单选
单选题 根据规律填人问号处的图形是( )。
A A B B C C D D E E
查看
单选
A、B、C、D、E五支篮球队进行小组单循环赛(每两个队之间赛一场)。循环赛结束之 后,各队的胜负情况如下表所示: 由此可知( )。
A E队战胜了C队和A队 B E 队负于C 队和A队 C E队战胜了A队,但负于C队 D E队战胜了C队,但负于A队
查看
单选
单选题 观察数列的变化规律,然后为空缺处选出正确的数。
A A B B C C D D E E
查看
单选
某高校今年录取的文理科中,男生人数比女生人数多,理科生比文科生多。 则由此可以判断,以下说法一定正确的是( )。
A 文科男生一定多于理科女生 B 文科男生一定多于文科女生 C 理科男生一定多于理科女生 D 理科男生比文科女生人数多
查看
单选
新生入学,甲、乙、丙打算报文学社、武术社和音乐社三个社团。 (1)如果乙报音乐社,甲也报音乐社。 (2)如果武术社比文学社人数多,则甲选择武术社。 (3)只有在
A 如果乙、丙都报文学社,则甲一定也在文学社 B 如果甲报音乐社,则乙、丙一定在同一社团 C 甲、乙一定选择音乐社 D 如果丙未报任何社团,则甲一定报文学社
查看
单选
学校的图书借阅室中,涉及宋代的历史书只放在书架第二层的专业书库中,外文类的典藏书籍只放在书架第三层的盒子中。小李到图书借阅室借了一本外文历史书,则由此可以推出小
A 不是涉及宋代的典藏书籍 B 放在第三层的盒子中 C 不放在书架的第三层 D 是涉及宋代的典藏书籍
查看
单选
单选题 观察数列的变化规律,然后为空缺处选出正确的数。
A A B B C C D D E E
查看
单选
单选题 根据规律填人问号处的图形是()。
A A B B C C D D E E
查看
单选
如果让列车在一条真空管道中运行,它的速度能达到什么程度?首先,真空管道中没有了空气阻力,至少要比目前的高铁更快。其次,在真空管道中可以采取磁悬浮技术,轨道和车轮
A 在真空管道中,列车中的一些必要设备会对人体产生危害 B 不管是消除空气阻力,还是消除摩擦阻力,都能让列车的速度加快 C 真空管道的造价十分昂贵,很少有国家能够独立支撑下来 D 现代社会追求的是价值创造的速度,而不是物理上的更快
查看
单选
实验室烧杯内有盐水溶液若干,现在往烧杯内加入若干纯净水后测得浓度是 40%,然后再加入同样多的纯净水,测得浓度是 30%,那么,如果再加入同样多的纯净水,溶液的
A 20% B 24% C 18% D 12%
查看
刷题小程序
热门试卷
2019年《中国银行》(秋招)校园招聘真题
2020年《中国银行》(秋招)校园招聘真题
2020年《中国银行》(春招)校园招聘真题
2021年《中国银行》(秋招)校园招聘真题
2021年《中国银行》(春招)校园招聘真题
2022年《中国银行》(秋招)校园招聘真题
2022年《中国银行》(春招)校园招聘真题
2023年《中国银行》校园招聘真题
2024年《中国银行》(秋招)校园招聘真题
2024年《中国银行》(春招)校园招聘真题
2025年《中国银行》校园招聘真题
2019年《工商银行》(秋招)校园招聘真题
2019年《工商银行》(春招)校园招聘真题