首页
考研
最新考研题库
中外美术史23新版
建筑类
二级建造师
一级建造师
一级造价工程师
监理工程师
安全工程师
一级消防工程师
消防设施操作员
医学类
主治类
执业药师
护师(初级)资格证考试
主管护师(中级)资格证考试
护士资格证考试
医师类
中药学类
金融类
基金从业资格
银行从业资格
证券从业资格
期货从业资格
银行招聘考试
财会类
初级经济师
中级经济师
初级会计师
中级会计师
注册会计师
税务师
资产评估师
教师类
中学教师笔试
小学教师笔试
幼儿教师笔试
幼儿结构化面试
幼儿专业面试
中小学结构化面试
学历提升
成考(专升本)
成考(高起本、高起专)
自考
网校课程
登录
注册好礼
我的主页
我的提问
我的回答
退出
当前位置:
首页
>
(银行招聘) 职业能力测验
>
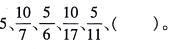
单选题 观察数列的变化规律,然后为空缺处选出正确的数:
单选
单选题 观察数列的变化规律,然后为空缺处选出正确的数:
A A
B B
C C
D D
E E
正确答案
B
查看解析
搜索
相关试题
单选
单选题 根据规律填人问号处的图形是( )。
A A B B C C D D E E
查看
单选
单选题 根据规律填人问号处的图形是( )。
A A B B C C D D E E
查看
单选
李强和贾军一起进入了长跑决赛,关于他们的名次情况,有如下预测: (1) 两人中至少有一人能进入前三名; (2) 李强不一定能进前三名; (3) 贾军能进前三名;
A 李强进了前三名,贾军没有进 B 两人都进前三名了 C 贾军进了前三名,李强没有进 D 两人都没进前三名
查看
单选
根据规律,填入问号处的数字是( )。
A 5 B 4 C 2 D.3
查看
单选
某高校计算机学院新招聘一批青年讲师。这些讲师中有些人拥有海外留学经历。已知计算机学院所有拥有海外留学经历的讲师都曾去 A 校交流学习过,该学院所有在校级期刊发表
A 有些新招聘的讲师没有去 A 校交流学习过 B 有些拥有海外留学经历的讲师曾在核心期刊发表过论文 C 所有新招聘的讲师都曾在校级期刊发表过论文 D 有些新招聘的讲师不曾在校级期刊发表过论文
查看
单选
公司销售部门的员工中,所有喜欢打羽毛球的员工也都喜欢踢足球。听到这样的结论,李经理说:“这是对的,不过,有些喜欢打篮球的不喜欢打羽毛球。” 如果李经理说的都是对
A 有些喜欢打羽毛球的员工不喜欢打篮球 B 有些喜欢打篮球的员工也喜欢踢足球 C 有些不喜欢踢足球的员工喜欢打篮球 D 有些不喜欢打篮球的员工喜欢踢足球
查看
单选
单选题 根据规律填入问号的图形是( )。
A A B B C C D D E E
查看
单选
观察数列的变化规律,然后为空缺处选出正确的数:13、26、78、312、1560、( )。
A 7640 B 5480 C 9360 D 3460
查看
单选
鲜牛奶富含钙质、蛋白质,有助于儿童的身体成长。监管部门要求各奶制品企业要在奶制品的包装盒上注明鲜奶的含量。有人认为,这对于保护儿童身体健康促进儿童体质增强有重要
A 奶制品大都添加了防腐剂,经常食用反而会加重儿童的身体负担 B 除了奶制品,户外活动也有助于儿童的身体成长 C 常喝牛奶的儿童在身高、智力发育上明显优于那些不喝牛奶的儿童 D 很多家长在购买奶制品时并不在意奶制品的配料及比例
查看
单选
有甲乙两支队伍,甲队伍中女性成员与男性成员的比例是 7:13,乙队伍中女性成员和男性队员的比例是 8:17,且甲队伍比乙队伍多 20 人,那么这两个队伍中最少可
A 64 B 74 C 88 D 58
查看
刷题小程序
热门试卷
2019年《中国银行》(秋招)校园招聘真题
2020年《中国银行》(秋招)校园招聘真题
2020年《中国银行》(春招)校园招聘真题
2021年《中国银行》(秋招)校园招聘真题
2021年《中国银行》(春招)校园招聘真题
2022年《中国银行》(秋招)校园招聘真题
2022年《中国银行》(春招)校园招聘真题
2023年《中国银行》校园招聘真题
2024年《中国银行》(秋招)校园招聘真题
2024年《中国银行》(春招)校园招聘真题
2025年《中国银行》校园招聘真题
2019年《工商银行》(秋招)校园招聘真题
2019年《工商银行》(春招)校园招聘真题