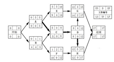
【问题1】在没有约束条件情况下的单号图如下所示。

关键路径为ACDH,项目完成至少需要17周。在有外部限制条件下的计算如下:E作业具有4周的总时差,延迟3周后G作业开始,会导致G作业的最早开始时间变为第13周,关键路径不会发生变化。F作业具有9天的总时差,延迟5周后H作业仍然为第12周开始(H作业的最早开始时间选F和D作业最早结束时间的最大值12),因此也不会导致关键路径的变化。综上所述:在有外部限制条件的情况下,关键路径仍为ACDH,项目完成至少需要17周。
【问题2】没有外部条件限制,由上图可以算出。B的总时差=LF - EF=5-1=4,自由时差=紧后作业ES的最小值-本作业的EF=1-1=0。G的总时差=LF - EF=17-15=2,自由时差=总工期-本作业的EF=17-15=2。有外部条件限制,由上图可以算出。B的总时差为4,自由时差为0。G的总时差=17-16=1(因G作业的最早开始时间受E作业的影响变为13,最早结束时间变为16),自由时差=17-16=1。
【问题3】该题目项目活动总持续时间为:5+1+3+4+5+2+3+5=28周(即所有活动的工期周数相加)。总预算为280万元,所以每周预算为280/28=10万元。第一周开始的活动有A和B两项活动,故第一周的预算为10×2=20万元。第10周末项目情况如下:AC=200万PV:计划完成的工作×预算价值= A+B+C+1/2×D+E+F=50+10+30+1/2×40+50+20=180EV:已经完成的工作×预算价值= A+B+C+E+F=50+10+30+50+20=160CPI=EV/AC=160/200=0.8SPI=EV/PV=160/180=0.89