首页
考研
最新考研题库
中外美术史23新版
建筑类
二级建造师
一级建造师
一级造价工程师
监理工程师
安全工程师
一级消防工程师
消防设施操作员
医学类
主治类
执业药师
护师(初级)资格证考试
主管护师(中级)资格证考试
护士资格证考试
医师类
中药学类
金融类
基金从业资格
银行从业资格
证券从业资格
期货从业资格
银行招聘考试
财会类
初级经济师
中级经济师
初级会计师
中级会计师
注册会计师
税务师
资产评估师
教师类
中学教师笔试
小学教师笔试
幼儿教师笔试
幼儿结构化面试
幼儿专业面试
中小学结构化面试
学历提升
成考(专升本)
成考(高起本、高起专)
自考
网校课程
登录
注册好礼
我的主页
我的提问
我的回答
退出
当前位置:
首页
>
系统集成项目管理工程师
>
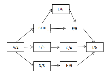
下图(单位:周)为某项目的进度网络图,项目各项工作顺序及工作时长如图所示,活动D的总浮动时间和自由浮动时间分别为( ),
单选
下图(单位:周)为某项目的进度网络图,项目各项工作顺序及工作时长如图所示,活动D的总浮动时间和自由浮动时间分别为( ),该项目工期为(? )。
A 17
B 26
C 37
D 31
正确答案
C
查看解析
搜索
相关试题
单选
采用现代管理理论作为计划,设计、控制的方法论,将硬件、软件、数据库网络等系统按照规划的结构和秩序,有序地整合到一个有清晰边界的信息系统中,以达到既定系统的目标,
A 设计 B 开发 C 集成 D 运维
查看
单选
虚拟化技术主要包括( )。 ①服务器虚拟化 ②存储虚拟化 ③数据虚拟化 ④网络虚拟化 ⑤桌面虚拟化
A ①②④⑤ B ①②③④ C ②③④⑤ D ①②③⑤
查看
单选
《“十四五”国家信息化规划》指出,以推动高质量发展为题,以建设( )为总目标,以加快( )发展为总抓手,发挥( )对社会发展的驱动引领作用。
A 网络强国 信息化 数字网络 B 数字中国 数字化 信息化 C 制造强国 制造业 智能制造 D 智能强国 智能化 数智化
查看
单选
企业信息结构包含( )。 ①产品(服务)层 ②作业层 ③决策层 ④客户层 ⑤管理层 ⑥数据层
A ①②③④ B ①②③⑤ C ②④⑤⑥ D ③④⑤⑥
查看
单选
企业向消费者提供网上购物环境,消费者通过网络访问相关网络进行咨询、购买活动,这种模式称为( )。
A B2B B C2C C O2O D B2C
查看
单选
依据《“十四五”软件和信息技术服务业发展规划》,“加快突破”金融核心业务系统的建筑信息建模和建筑防火模拟智慧能源管理、智能交通管理、智能办公室等,属于( )任务
A 重点突破工业软件 B 协同攻关应用软件 C 聚力攻坚基础软件 D 前瞻布局新型平台软件
查看
单选
( )针对特定的数据和问题,选择一种或多种算法,找到数据中的规律,为决策提供支持。
A 数据展示 B 数据抽取 C 数据转换 D 数据挖掘
查看
单选
( )不属于新型基础设施建设(新基建)的内容。
A 工业互联网 B 高速公路 C 大数据中心 D 5G
查看
单选
( )是移动物联网的关键技术。
A 面向服务的架构SOA B 分布式文件系统HDFS C 射频识别技术RFID D 边缘计算EC
查看
单选
ITSS(信息技术服务标准)定义的IT服务核心要素中,( )体现了“正确做事”的思想。
A 人员 B 资源 C 技术 D 过程
查看
刷题小程序
热门试卷
2018年上半年(上午)《系统集成项目管理工程师》真题
2018年下半年(上午)《系统集成项目管理工程师》真题
2019年下半年(上午)《系统集成项目管理工程师》真题
2019年上半年(上午)《系统集成项目管理工程师》真题
2020年上半年(上午)《系统集成项目管理工程师》真题
2020年下半年(上午)《系统集成项目管理工程师》真题
2021年上半年(上午)《系统集成项目管理工程师》真题
2021年下半年(上午)《系统集成项目管理工程师》真题
2022年上半年(上午)《系统集成项目管理工程师》真题
2022年下半年(上午)《系统集成项目管理工程师》真题
2022(广东卷)上半年(上午)《系统集成项目管理工程师》真题
2022(广东卷)下半年(上午)《系统集成项目管理工程师》真题
2023上半年(上午)《系统集成项目管理工程师》真题
2023下半年(上午)《系统集成项目管理工程师》真题
2024下半年(上午)《系统集成项目管理工程师》真题