首页
考研
最新考研题库
中外美术史23新版
建筑类
二级建造师
一级建造师
一级造价工程师
监理工程师
安全工程师
一级消防工程师
消防设施操作员
医学类
主治类
执业药师
护师(初级)资格证考试
主管护师(中级)资格证考试
护士资格证考试
医师类
中药学类
金融类
基金从业资格
银行从业资格
证券从业资格
期货从业资格
银行招聘考试
财会类
初级经济师
中级经济师
初级会计师
中级会计师
注册会计师
税务师
资产评估师
教师类
中学教师笔试
小学教师笔试
幼儿教师笔试
幼儿结构化面试
幼儿专业面试
中小学结构化面试
学历提升
成考(专升本)
成考(高起本、高起专)
自考
网校课程
登录
注册好礼
我的主页
我的提问
我的回答
退出
当前位置:
首页
>
系统集成项目管理工程师
>
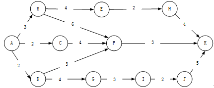
填空题 下图为某项目规划的的进度网络图(单位:周)。在实际实施过程中,活动B-E比计划延迟了2周,活动J-K比计划提前了
分析
填空题 下图为某项目规划的的进度网络图(单位:周)。在实际实施过程中,活动B-E比计划延迟了2周,活动J-K比计划提前了3周,则该项目的关键路径是( ),总工期是( )周。
问题1选项
A.A-D-G-I-J-K
B.A-B-F-K
C.A-B-E-H-K
D.A-D-F-K
问题2选项
A.15
B.14
C.13
D.12
正确答案
CA
查看解析
搜索
相关试题
单选
( )不属于企业信息化应用系统
A 供应链管理(SCM) B 企业资源规划(ERP) C 客户关系管理(CRM) D 面向服务的架构(SOA)
查看
单选
RFID射频技术多应用于物联网的( )。
A 感知层 B 网络层 C 应用层 D 传输层
查看
单选
关于电子商务的描述,正确的是( )。
A 团购网站、电话购物、网上书店属于现代电子商务概念 B 某网站通过推广最新影讯信息及团购折扣活动促进影票销售,这种方式属于O2O模式 C 某农产品在线交易网站,为某地区农产品公司和本地销售商提供线上交易和信息咨询等服务,这种方式属于C2C模式 D 消费者之间通过个人二手物品在线交易平台进行交易,这种商务模式属于B2C模式
查看
单选
关于责任分配矩阵(RAM)的描述,不正确的是( )。
A 大型项目中,RAM可分为多个层级 B 针对具体的一项活动可分配多个成员,每个成员承担相应的职责 C RAM中用不同的字母表示不同的职责 D RAM中每项活动中可以有一个以上成员对任务负责
查看
单选
( )不属于客户关系管理(CRM)系统的基本功能。
A 自动化销售 B 自动化项目管理 C 自动化市场营销 D 自动化客户服务
查看
单选
( )不属于控制采购过程的工具与技术。
A 工作绩效信息 B 合同变更控制系统 C 采购绩效审计 D 检查与审计
查看
单选
( )的项目不适合使用总价合同。
A 工程量不大且能精确计算 B 技术不复杂 C 项目内容未确定 D 风险较小
查看
单选
( )向用户提供虚拟的操作系统、数据库管理系统等服务,满足用户个性化的应用部署需求。
A SaaS B PaaS C IaaS D DaaS
查看
单选
关于无线通信网络的描述,不正确的是( )。
A 2G应用于GSM、CDMA等数字手机 B 3G主流制式包括 CDMA2000、WCDMA、TD-LTE 和 FDD-LTE C 4G是3G与WLAN于一体,理论下载速率达到100Mbps D 正在研发的5G,理论上可达1Gbps以上的速度传送数据
查看
单选
存储磁盘阵列按其连接方式的不同,可分为三类,即DAS、NAS和( )。
A LAN B WAN C SAN D RAID
查看
刷题小程序
热门试卷
2018年上半年(上午)《系统集成项目管理工程师》真题
2018年下半年(上午)《系统集成项目管理工程师》真题
2019年下半年(上午)《系统集成项目管理工程师》真题
2019年上半年(上午)《系统集成项目管理工程师》真题
2020年上半年(上午)《系统集成项目管理工程师》真题
2020年下半年(上午)《系统集成项目管理工程师》真题
2021年上半年(上午)《系统集成项目管理工程师》真题
2021年下半年(上午)《系统集成项目管理工程师》真题
2022年上半年(上午)《系统集成项目管理工程师》真题
2022年下半年(上午)《系统集成项目管理工程师》真题
2022(广东卷)上半年(上午)《系统集成项目管理工程师》真题
2022(广东卷)下半年(上午)《系统集成项目管理工程师》真题
2023上半年(上午)《系统集成项目管理工程师》真题
2023下半年(上午)《系统集成项目管理工程师》真题
2024下半年(上午)《系统集成项目管理工程师》真题