首页
考研
最新考研题库
中外美术史23新版
建筑类
二级建造师
一级建造师
一级造价工程师
监理工程师
安全工程师
一级消防工程师
消防设施操作员
医学类
主治类
执业药师
护师(初级)资格证考试
主管护师(中级)资格证考试
护士资格证考试
医师类
中药学类
金融类
基金从业资格
银行从业资格
证券从业资格
期货从业资格
银行招聘考试
财会类
初级经济师
中级经济师
初级会计师
中级会计师
注册会计师
税务师
资产评估师
教师类
中学教师笔试
小学教师笔试
幼儿教师笔试
幼儿结构化面试
幼儿专业面试
中小学结构化面试
学历提升
成考(专升本)
成考(高起本、高起专)
自考
网校课程
登录
注册好礼
我的主页
我的提问
我的回答
退出
当前位置:
首页
>
初级质量专业基础理论与实务
>
多项选择题
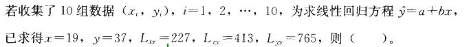
多选
多项选择题
A A
B B
C C
D D
E E
正确答案
ACE
查看解析
搜索
相关试题
单选
单项选择题 设事件A=“轴承寿命
A A B B C C D D E E
查看
单选
单项选择题 两台机床相互独立工作,需要维修的概率分别是0.3与0.2,两台机床都不需要维修的概率是()。 A. 0. 56 B. 0. 06 C. 0. 94
A A B B C C D D E E
查看
单选
单项选择题 从一个总体中随机抽取了两个样本,一个样本的样本量为20,样本均值为158, 另一个样本的样本量为10,样本均值为152,则将它们合并为一个样本,其样
A A B B C C D D E E
查看
单选
单项选择题 设某二项分布的均值等于3,方差等于2.7,则二项分布参数p=( )。 A. 0. 9 B. 0. 1 C. 0.7 D. 0. 3
A A B B C C D D E E
查看
单选
单项选择题 标准正态随机变量X取一点a的概率P(X=a)为( )。
A A B B C C D D E E
查看
单选
单项选择题 正态分布N( 10,22)的中位数是( )。 A. 2 B. 4 C. 5 D. 10
A A B B C C D D E E
查看
单选
单项选择题 A.独立的关系 B.不相容的关系 C.函数关系 D.线性相关关系
A A B B C C D D E E
查看
单选
单项选择题 当用户提出抽样检验的使用方风险为10%,其抽样方案在极限质量处的接收概率 为( )。 A. 10% B. 90% C. 5% D. 95%
A A B B C C D D E E
查看
单选
单项选择题 在计数调整型抽样方案中,用来规定批量和样本量之间关系的要素是( )。 A. AQL B.检验水平 C.抽样类型 D. LQ
A A B B C C D D E E
查看
单选
单项选择题 随着过程质量水平的变化,计数调整型抽样检验不断调整的是检验的( )。 A.水平 B. AQL C.抽样类型 D.严格度
A A B B C C D D E E
查看
刷题小程序
热门试卷
质量工程师《专业基础理论与实务(初级)》模拟卷1
质量工程师《专业基础理论与实务(初级)》模拟卷2
质量工程师《专业基础理论与实务(初级)》模拟卷3
质量工程师《专业基础理论与实务(初级)》预测卷1
质量工程师《专业基础理论与实务(初级)》预测卷2