首页
考研
最新考研题库
中外美术史23新版
建筑类
二级建造师
一级建造师
一级造价工程师
监理工程师
安全工程师
一级消防工程师
消防设施操作员
医学类
主治类
执业药师
护师(初级)资格证考试
主管护师(中级)资格证考试
护士资格证考试
医师类
中药学类
金融类
基金从业资格
银行从业资格
证券从业资格
期货从业资格
银行招聘考试
财会类
初级经济师
中级经济师
初级会计师
中级会计师
注册会计师
税务师
资产评估师
教师类
中学教师笔试
小学教师笔试
幼儿教师笔试
幼儿结构化面试
幼儿专业面试
中小学结构化面试
学历提升
成考(专升本)
成考(高起本、高起专)
自考
网校课程
登录
注册好礼
我的主页
我的提问
我的回答
退出
当前位置:
首页
>
初级质量专业基础理论与实务
>
多项选择题
多选
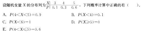
多项选择题
A A
B B
C C
D D
E E
正确答案
BCE
查看解析
搜索
相关试题
单选
单项选择题 对5袋粮食进行称重,获得如下数据:62,68,70,72,78 (单位:kg),样本方差为()。 A. 70.0 B. 60.5 C. 34.0 D
A A B B C C D D E E
查看
单选
单项选择题 3. 4 ppm 表示( )。 A. 3. 4X10﹣3 B. 3. 4X10﹣4 C. 3. 4X10﹣5 D. 3. 4X10﹣6
A A B B C C D D E E
查看
单选
单项选择题 由 10 对观测值 (xi,yi),i=1,2,…,10,计算得Lxx= 160,Lxy=-216,Lyy =﹣360,则样本相关系数r=( )。
A A B B C C D D E E
查看
单选
单项选择题 某产品可能出现A与B两种缺陷,如果出现缺陷A的概率是0.1,出现缺陷B的概率是0.2,缺陷A的发生与缺陷B的发生相互独立,则该产品无缺陷的概率是 (
A A B B C C D D E E
查看
单选
单项选择题 从不合格品率为0. 04的一批产品中随机抽出600个,在前300个产品中发现不合格品12个,后300个产品中发现不合格品18个,理论上每随机抽出的6
A A B B C C D D E E
查看
单选
单项选择题 设三个事件A、B、C相互独立,某发生概率相等,都为2/3,则A、B、C中至少发生一个的概率为( )。 A. 8/27 B. 1/27 C. 19/2
A A B B C C D D E E
查看
单选
单项选择题 A和B是两个事件,A∩B=A成立的条件是()。
A A B B C C D D E E
查看
单选
单项选择题 如果某器件的内径随着电镀时间的增加而变小,那么电镀时间和内径的相关系数r一定( )。 A.在0与1之间 B.在﹣1和0之间 C.等于0 D.等于﹣1
A A B B C C D D E E
查看
单选
单项选择题 根据GB/T 2828.1,在检验成本较高的场合,适宜选择的检验水平是( )。 A.特殊水平 B. —般水平Ⅲ C. 一般水平Ⅱ d. 一般水平Ⅰ
A A B B C C D D E E
查看
单选
单项选择题 从稳定生产的企业采购少数几批产品,验收抽样时适宜使用()。 A.孤立批计数抽样方案模式B B.孤立批计数抽样方案模式A C.放宽抽样方案 D.加严抽
A A B B C C D D E E
查看
刷题小程序
热门试卷
质量工程师《专业基础理论与实务(初级)》模拟卷1
质量工程师《专业基础理论与实务(初级)》模拟卷2
质量工程师《专业基础理论与实务(初级)》模拟卷3
质量工程师《专业基础理论与实务(初级)》预测卷1
质量工程师《专业基础理论与实务(初级)》预测卷2