首页
考研
最新考研题库
中外美术史23新版
建筑类
二级建造师
一级建造师
一级造价工程师
监理工程师
安全工程师
一级消防工程师
消防设施操作员
医学类
主治类
执业药师
护师(初级)资格证考试
主管护师(中级)资格证考试
护士资格证考试
医师类
中药学类
金融类
基金从业资格
银行从业资格
证券从业资格
期货从业资格
银行招聘考试
财会类
初级经济师
中级经济师
初级会计师
中级会计师
注册会计师
税务师
资产评估师
教师类
中学教师笔试
小学教师笔试
幼儿教师笔试
幼儿结构化面试
幼儿专业面试
中小学结构化面试
学历提升
成考(专升本)
成考(高起本、高起专)
自考
网校课程
登录
注册好礼
我的主页
我的提问
我的回答
退出
当前位置:
首页
>
(结构) 专业考试二级
>
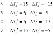
单选题 某高层钢筋混凝土框架一剪力墙结构,平面尺寸为22m×60m,为满足使用要求其长度方向未设温度缝,仅设一条上下贯通
单选
单选题 某高层钢筋混凝土框架一剪力墙结构,平面尺寸为22m×60m,为满足使用要求其长度方向未设温度缝,仅设一条上下贯通的后浇带。建筑物使用期间结构最高平均温度Tmax=30℃,最低平均温度Tmin=10℃,设计考虑后浇带的封闭温度为15~25℃。假定,对该结构进行均匀温度作用分析。试问,该结构最大温升工况的均匀温度作用标准值
(℃)和最大降温工况的均匀温度作用标准值
(℃),与下列何项数值最为接近?( )[2014年真题]
提示:①不考虑混凝土收缩、徐变的影响;
②按《建筑结构荷载规范》(GB 50009—2012)作答。
A A
B B
C C
D D
E E
正确答案
A
查看解析
搜索
相关试题
刷题小程序
热门试卷