首页
考研
最新考研题库
中外美术史23新版
建筑类
二级建造师
一级建造师
一级造价工程师
监理工程师
安全工程师
一级消防工程师
消防设施操作员
医学类
主治类
执业药师
护师(初级)资格证考试
主管护师(中级)资格证考试
护士资格证考试
医师类
中药学类
金融类
基金从业资格
银行从业资格
证券从业资格
期货从业资格
银行招聘考试
财会类
初级经济师
中级经济师
初级会计师
中级会计师
注册会计师
税务师
资产评估师
教师类
中学教师笔试
小学教师笔试
幼儿教师笔试
幼儿结构化面试
幼儿专业面试
中小学结构化面试
学历提升
成考(专升本)
成考(高起本、高起专)
自考
网校课程
登录
注册好礼
我的主页
我的提问
我的回答
退出
当前位置:
首页
>
(结构) 专业基础考试一级
>
单选题 采用两个三分点集中荷载P代替均布荷载q作为等效荷载进行钢筋混凝土简支梁试验,则跨中最大弯矩等效时,等效荷载值P应
单选
单选题 采用两个三分点集中荷载P代替均布荷载q作为等效荷载进行钢筋混凝土简支梁试验,则跨中最大弯矩等效时,等效荷载值P应为( )。
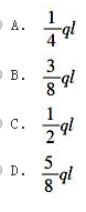
A A
B B
C C
D D
E E
正确答案
B
查看解析
搜索
相关试题
单选
下列选项中,对于建设项目规划审查机构实施监督的情况描述正确的是( )。
A A、应当对工程建设勘察、设计阶段执行强制性标准的情况实施监督。 B B、应当对工程建设规划阶段执行强制性标准的情况实施监督。 C C、应当对工程建设施工阶段执行施工安全强制性标准的情况实施监督。 D D、应当对工程建设施工、监理、验收等阶段执行强制性标准的情况实施监督。
查看
单选
确定地面点位相对位置的三个基本观测量是( )。
A A、水平距离、水平角和方位角 B B、水平距离、水平角和高差 C C、水平距离、方位角和竖直角 D D、水平距离、竖直角和高差
查看
单选
关于试验荷载和加载方法的选择,下列各项要求不全面的是( )。
A A、试验加载设备和装置应满足结构设计荷载图式的要求 B B、荷载的传递方式和作用点要明确,荷载的数值要稳定 C C、荷载分级的分度值要满足试验量测的精度要求 D D、加载装置安全可靠,满足强度要求
查看
单选
结构试验分为生产性试验和研究性试验两类,下列哪项不属于研究性试验解决的问题?( )
A A、综合鉴定建筑的设计和施工质量 B B、为发展和推广新结构提供实践经验 C C、为制定设计规范提供依据 D D、验证结构计算理论的假定
查看
单选
深度达18m的基础工程,在条件适宜的情况下,基坑支护型式可选择( )。
A A、水泥土墙 B B、地下连续墙 C C、土钉墙 D D、逆作拱墙
查看
单选
有两个配置螺旋箍筋的圆形截面柱,一个直径大,另一个直径小,但螺旋箍筋的品种、直径和螺旋距都相同,则螺旋箍筋对哪个的承载力提高得大些(相对于该柱本身)?( )
A A、直径大的 B B、直径小的 C C、两者相同 D D、不能确定
查看
单选
下列各项属于玻璃体结构特征的是( )。
A A、各向异性、化学稳定性差、有固定熔点 B B、各向同性、化学稳定性差、强度较低 C C、各向同性、化学稳定性好、强度较高 D D、各向异性、强度较高、无固定熔点
查看
单选
在设计或制作试验试件的支点和加载点处时,作法不得当的是( )。
A A、增加钢筋网片 B B、预埋铁板 C C、提高混凝土浇筑质量和加强养护 D D、试验安装时加钢垫板
查看
单选
已知某土样孔隙比e=1,饱和度Sr=0,则土样符合的条件为( )。 (1)土粒、水、气三相体积相等;(2)土粒、气两相体积相等;(3)土粒体积是气体体积的两倍;
A A、(1)(2) B B、(1)(3) C C、(2)(3) D D、(2)(4)
查看
单选
下列结构材料中,比强度最小的是( )。
A A、低碳钢 B B、松木 C C、普通混凝土 D D、红砖
查看
刷题小程序
热门试卷
一级注册结构工程师《专业基础》模拟卷1
一级注册结构工程师《专业基础》模拟卷2
一级注册结构工程师《专业基础》模拟卷3
一级注册结构工程师《专业基础》模拟卷4
一级注册结构工程师《专业基础》模拟卷5
一级注册结构工程师《专业基础》预测卷1
一级注册结构工程师《专业基础》预测卷2