首页
考研
最新考研题库
中外美术史23新版
建筑类
二级建造师
一级建造师
一级造价工程师
监理工程师
安全工程师
一级消防工程师
消防设施操作员
医学类
主治类
执业药师
护师(初级)资格证考试
主管护师(中级)资格证考试
护士资格证考试
医师类
中药学类
金融类
基金从业资格
银行从业资格
证券从业资格
期货从业资格
银行招聘考试
财会类
初级经济师
中级经济师
初级会计师
中级会计师
注册会计师
税务师
资产评估师
教师类
中学教师笔试
小学教师笔试
幼儿教师笔试
幼儿结构化面试
幼儿专业面试
中小学结构化面试
学历提升
成考(专升本)
成考(高起本、高起专)
自考
网校课程
登录
注册好礼
我的主页
我的提问
我的回答
退出
当前位置:
首页
>
(结构) 专业基础考试一级
>
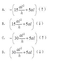
单选题 图示刚架材料的线膨胀系数为α,各杆截面均为矩形,截面高度为h,由于图示温度变化引起C点的竖向位移为( )。
单选
单选题 图示刚架材料的线膨胀系数为α,各杆截面均为矩形,截面高度为h,由于图示温度变化引起C点的竖向位移为( )。
A A
B B
C C
D D
E E
正确答案
C
查看解析
搜索
相关试题
单选
有一均布荷载作用的简支梁,进行研究性试验时,在短期荷载作用下,实测梁的挠度曲线,其等效荷载采用下列哪种方法加载是正确的?( )
A A.二集中力四分点加载 B B.二集中力三分点加载 C C.四集中力八分点加载 D D.八集中力十六分点加载
查看
单选
相同条件下,作用在挡土构筑物上的主动土压力、被动土压力、静止土压力的大小之间存在的关系是( )。
A A.Ep>Ea>Eo B B.Ep>Eo>Ea C C.Ea>Ep>Eo D D.Eo>Ep>Ea
查看
单选
对冻胀地基的建筑物,低洼场地,宜在建筑四周向外一倍冻深距离范围内,使其室外地坪至少高出自然地面( )mm。
A A.100~300 B B.200~400 C C.300~500 D D.500~800
查看
单选
单选题 图示结构支座A右侧截面剪力影响线形状为( )。
A A B B C C D D E E
查看
单选
图示梁Ma影响线在B点的纵标为( )m。
A A.-3 B B.-1.5 C C.-1 D D.0
查看
单选
单选题 图示结构支座B发生了移动,则点C的竖向位移( )。 {图1}
A A B B C C D D E E
查看
单选
单选题 图示桁架中AC为刚性杆,则杆件内力将为( )。
A A B B C C D D E E
查看
单选
单选题 在图示体系中,集中质量为m,杆长为l,抗弯刚度为EI,杆重不计。该体系自由振动的周期为( )。
A A B B C C D D E E
查看
单选
单选题
A A B B C C D D E E
查看
单选
同种材料的密度和表观密度满足( )的数值关系。
A A.密度值>表观密度值 B B.密度值<表观密度值 C C.密度值=表观密度值 D D.二者关系不确定
查看
刷题小程序
热门试卷
一级注册结构工程师《专业基础》模拟卷1
一级注册结构工程师《专业基础》模拟卷2
一级注册结构工程师《专业基础》模拟卷3
一级注册结构工程师《专业基础》模拟卷4
一级注册结构工程师《专业基础》模拟卷5
一级注册结构工程师《专业基础》预测卷1
一级注册结构工程师《专业基础》预测卷2