首页
考研
最新考研题库
中外美术史23新版
建筑类
二级建造师
一级建造师
一级造价工程师
监理工程师
安全工程师
一级消防工程师
消防设施操作员
医学类
主治类
执业药师
护师(初级)资格证考试
主管护师(中级)资格证考试
护士资格证考试
医师类
中药学类
金融类
基金从业资格
银行从业资格
证券从业资格
期货从业资格
银行招聘考试
财会类
初级经济师
中级经济师
初级会计师
中级会计师
注册会计师
税务师
资产评估师
教师类
中学教师笔试
小学教师笔试
幼儿教师笔试
幼儿结构化面试
幼儿专业面试
中小学结构化面试
学历提升
成考(专升本)
成考(高起本、高起专)
自考
网校课程
登录
注册好礼
我的主页
我的提问
我的回答
退出
当前位置:
首页
>
(结构) 专业基础考试一级
>
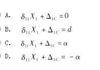
单选题 图示结构支座A下沉了d并发生了顺时针方向转角α,当用力法计算并取图(b)为基本结构时,力法方程应为( )。
单选
单选题 图示结构支座A下沉了d并发生了顺时针方向转角α,当用力法计算并取图(b)为基本结构时,力法方程应为( )。
A A
B B
C C
D D
E E
正确答案
C
查看解析
搜索
相关试题
单选
试件支承装置中,各支墩的高差不宜大于试件跨度的比例是( )。
A A.1/50 B B.1/100 C C.1/150 D D.1/200
查看
单选
应变片的灵敏系数是指( )。
A A.在单向应力作用下,应变片电阻的相对变化与沿其轴向的应变之比值 B B.在X、Y双向应力作用下,X方向应变片电阻的相对变化与Y方向应变片电阻的相对变化之比值 C C.在X、Y双向应力作用下,X方向应变与Y方向应变之比值 D D.对于同一单向应变值,应变片在与此应变方向垂直安装时的指示应变与沿此应变方向安装时指示应变的比值
查看
单选
库仑土压力理论的适用条件为( )。
A A.墙背必须光滑、垂直 B B.墙后填土为理想散粒体 C C.填土面必须水平 D D.墙后填土为理想粘性体
查看
单选
下列基础中,适宜宽基浅埋的基础是( )。
A A.砖基础 B B.毛石基础 C C.混凝土基础 D D.钢筋混凝土基础
查看
单选
图(a)所示结构某截面的弯矩影响线已作出如图(b)所示,其中竖标yC是表示( )。
A A.F=1在E时,C截面的弯矩值 B B.F=1在C时,A截面的弯矩值 C C.F=1在C时,E截面的弯矩值 D D.F=1在C时,D截面的弯矩值
查看
单选
用位移法计算图示结构,已知典型方程的系数r11=27EI/l3,R1P=-F/2,各柱EI=常数,右柱底的弯矩为( )。
A A.-Fl/8 B B.-Fl/9 C C.Fl/8 D D.Fl/9
查看
单选
试确定图(a)所示吊车梁在吊车轮压下支座B的最大反力为( )(已知:P1=P2=250kN,P3=P4=182kN)。
A A.447.6kN B B.472.6kN C C.488.4kN D D.491.2kN
查看
单选
单选题
A A B B C C D D E E
查看
单选
单选题 图示体系的自振频率为( )。
A A B B C C D D E E
查看
单选
图示结构(忽略轴向变形的影响)BD杆的M、Q特征为( )。
A A.M≠0;Q=常数 B B.M=常数;Q=0 C C.M=0;Q=0 D D.MBD=0;Q=常数
查看
刷题小程序
热门试卷
一级注册结构工程师《专业基础》模拟卷1
一级注册结构工程师《专业基础》模拟卷2
一级注册结构工程师《专业基础》模拟卷3
一级注册结构工程师《专业基础》模拟卷4
一级注册结构工程师《专业基础》模拟卷5
一级注册结构工程师《专业基础》预测卷1
一级注册结构工程师《专业基础》预测卷2