首页
考研
最新考研题库
中外美术史23新版
建筑类
二级建造师
一级建造师
一级造价工程师
监理工程师
安全工程师
一级消防工程师
消防设施操作员
医学类
主治类
执业药师
护师(初级)资格证考试
主管护师(中级)资格证考试
护士资格证考试
医师类
中药学类
金融类
基金从业资格
银行从业资格
证券从业资格
期货从业资格
银行招聘考试
财会类
初级经济师
中级经济师
初级会计师
中级会计师
注册会计师
税务师
资产评估师
教师类
中学教师笔试
小学教师笔试
幼儿教师笔试
幼儿结构化面试
幼儿专业面试
中小学结构化面试
学历提升
成考(专升本)
成考(高起本、高起专)
自考
网校课程
登录
注册好礼
我的主页
我的提问
我的回答
退出
当前位置:
首页
>
(结构) 专业基础考试一级
>
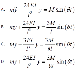
单选题 不计阻尼时,图示体系的运动方程为( )。
单选
单选题 不计阻尼时,图示体系的运动方程为( )。
A A
B B
C C
D D
E E
正确答案
B
查看解析
搜索
相关试题
单选
轻质无机材料吸水后,该材料的( )。
A A. 密实度增加 B B. 绝热性能提高 C C. 导热系数增大 D D. 孔隙率降低
查看
单选
硬化的水泥浆体中,位于水化硅酸钙凝胶的层间孔隙与凝胶有很强的结合作用,一旦失去,水泥浆体将会( )。
A A. 发生主要矿物解体 B B. 保持体积不变 C C. 发生显著的收缩 D D. 发生明显的温度变化
查看
单选
混凝土配合比设计通常需满足多项基本要求,这些基本要求不包括( )。
A A. 混凝土强度 B B. 混凝土和易性 C C. 混凝土水灰比 D D. 混凝土成本
查看
单选
单选题 设A、B坐标系为施工坐标系,A轴在测量坐标系中的方位角为α,施工坐标系的原点为O′,其坐标为x0和y0,下列何项表达了点p的施工坐标Ap、Bp转换为测量
A A B B C C D D E E
查看
单选
单选题 图示圆弧曲梁K截面轴力FNK(受拉为正),影响线C点竖标为( )。
A A B B C C D D E E
查看
单选
标距L=200mm的手持应变仪,用千分表进行量测读数,读数为3小格,测得应变值为(μE表示微应变)( )。
A A. 1.5μE B B. 15μE C C. 6μE D D. 12μE
查看
单选
图示单自由度体系受简谐荷载作用,当简谐荷载频率等于结构自振频率的两倍,则位移的动力放大系数为( )。
A A. 2 B B. 4/3 C C. -1/2 D D. -1/3
查看
单选
某外国,用固结仪实验结果计算土样的压缩指数(常数)时,不是用常数对数,而是用自然对数对应取值的。如果根据我国标准(常用对数),一个土样的压缩指数(常数)为0.0
A A. 4.86E-03 B B. 5.0E-04 C C. 2.34E-03 D D. 6.43E-03
查看
单选
A A. 惯性力 B B. 阻尼力 C C. 弹性力 D D. 弹性力+惯性力 E
查看
单选
土工聚合物在地基处理中的作用不包括( )。
A A. 排水作用 B B. 加筋 C C. 挤密 D D. 反滤
查看
刷题小程序
热门试卷
2017年注册结构工程师《专业基础考试》真题
2018年注册结构工程师《专业基础考试》真题
2019年注册结构工程师《专业基础考试》真题
2020年注册结构工程师《专业基础考试》真题
2021年注册结构工程师《专业基础考试》真题
2022年注册结构工程师《专业基础考试》真题
2023年注册结构工程师《专业基础考试》真题
2024年注册结构工程师《专业基础考试》真题