首页
考研
最新考研题库
中外美术史23新版
建筑类
二级建造师
一级建造师
一级造价工程师
监理工程师
安全工程师
一级消防工程师
消防设施操作员
医学类
主治类
执业药师
护师(初级)资格证考试
主管护师(中级)资格证考试
护士资格证考试
医师类
中药学类
金融类
基金从业资格
银行从业资格
证券从业资格
期货从业资格
银行招聘考试
财会类
初级经济师
中级经济师
初级会计师
中级会计师
注册会计师
税务师
资产评估师
教师类
中学教师笔试
小学教师笔试
幼儿教师笔试
幼儿结构化面试
幼儿专业面试
中小学结构化面试
学历提升
成考(专升本)
成考(高起本、高起专)
自考
网校课程
登录
注册好礼
我的主页
我的提问
我的回答
退出
当前位置:
首页
>
(结构) 基础考试一级
>
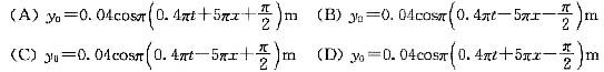
单选题 一平面简谐波在t=0时刻的波形如图3所示,波速u=0.08m·s-1,则波动表达式为( )。
单选
单选题 一平面简谐波在t=0时刻的波形如图3所示,波速u=0.08m·s-1,则波动表达式为( )。
A A
B B
C C
D D
E E
正确答案
C
查看解析
搜索
相关试题
单选
当刚体有与转轴垂直的对称面时,下述几种情况惯性力系向O点简化的结果是( )。 (1)转轴通过质心,如图8(a)所示。 (2)转轴与质心相距为e,但a-0,如图8
A A、图(a)FIR=0,MIO≠0。 B B、图(a)FIR≠0,MIO=0。 C C、图(b)FIR≠0,MIO≠0。 D D、图(b)FIR=0
查看
单选
单选题 设随机变量X的分布函数为 则X的概率密度函数f(x)为( )。
A A B B C C D D E E
查看
单选
如图14所示梁为正方形截面时最大正应力为σa,把该梁换成横截面积相同的矩形截面,截面的高度大于宽度,其他条件不变,此时最大正应力为σb,则σa与σb的关系为(
A A、σa>σb B B、σa<σb C C、σa=σb D D、无法比较
查看
单选
单选题 若高温热源的绝对温度为低温热源绝对温度的n倍,以理想气体为工作物质的卡诺机工作于上述高低温热源之间,则从高温热源吸收的热量和向低温热源放出的热量之比为(
A A B B C C D D E E
查看
单选
自密闭容器经两段串联管道输水,如图18所示。已知压力表读值PM=1at,水头H=2m,管长l1=10m,l2=20m,直径d1=100mm,d2=200mm,沿
A A、58L/s B B、39L/s C C、25L/s D D、49L/s
查看
单选
过点P1(1,1,1),P2(2,0,1)及P3(-1,-1,0)的平面方程是( )。
A A、x+y-4z+2=0 B B、x-y-4z+2=0 C C、x+y-4z-2=0 D D、x-y-4z-2=0
查看
单选
用JK触发器搭12进制计数器,最少需要( )个JK触发器。
A A、12 B B、6 C C、4 D D、3
查看
单选
=( )。
A A、0 B B、1 C C、e2 D D、e3
查看
单选
三层供水管路,如图19所示。各管段的阻抗S皆为106s2/m5,层高均为5m。设a点的作用水头为20mH2O,那么流量Q1、Q2、Q3分别为( )。
A A、4.47L/s,2.41L/s,0.63L/s B B、5.17L/s,3.49L/s,1.78L/s C C、3.21L/s,1.56L/s,1.18L/s D D、2.55L/s,1.04L/s,0.49L/s
查看
单选
如图9所示,下述质点系各有几个自由度( )。 (1)平面四连杆机构(图9(a))。 (2)在固定铅垂面内运动的双摆(图9(b))。 (3)在平面内沿直线作纯滚动
A A、(1)1个,(2)2个,(3)2个 B B、(1)1个,(2)2个,(3)1个 C C、(1)2个,(2)2个,(3)2个 D D、(1)2个,(2)1个,(3)1个
查看
刷题小程序
热门试卷
注册结构工程师《公共基础考试》模拟卷1
注册结构工程师《公共基础考试》模拟卷2
注册结构工程师《公共基础考试》模拟卷3
注册结构工程师《公共基础考试》模拟卷4
注册结构工程师《公共基础考试》预测卷1
注册结构工程师《公共基础考试》预测卷2
注册结构工程师《公共基础考试》预测卷3
注册结构工程师《公共基础考试》预测卷4