首页
考研
最新考研题库
中外美术史23新版
建筑类
二级建造师
一级建造师
一级造价工程师
监理工程师
安全工程师
一级消防工程师
消防设施操作员
医学类
主治类
执业药师
护师(初级)资格证考试
主管护师(中级)资格证考试
护士资格证考试
医师类
中药学类
金融类
基金从业资格
银行从业资格
证券从业资格
期货从业资格
银行招聘考试
财会类
初级经济师
中级经济师
初级会计师
中级会计师
注册会计师
税务师
资产评估师
教师类
中学教师笔试
小学教师笔试
幼儿教师笔试
幼儿结构化面试
幼儿专业面试
中小学结构化面试
学历提升
成考(专升本)
成考(高起本、高起专)
自考
网校课程
登录
注册好礼
我的主页
我的提问
我的回答
退出
当前位置:
首页
>
(结构) 基础考试一级
>
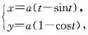
单选题 设则=( )
单选
单选题 设
则
=( )
A A
B B
C C
D D
E E
正确答案
A
查看解析
搜索
相关试题
单选
在下列固定资产折旧方法中,年折旧额在使用年限内始终不变的是( )。
A A、年限平均法 B B、年数总和法 C C、双倍余额递减法 D D、工作量法
查看
单选
如图11所示轴向拉压杆,1-1截面的轴力N的数值为( )。
A A、20kN B B、-30kN C C、10kN D D、-10kN
查看
单选
建设项目债务资金的筹措方式包括( )。
A A、政府投资 B B、发行股票 C C、融资租赁 D D、直接投资
查看
单选
目前,计算机系统中处理的信息是( )。
A A、模拟信号 B B、数字信号 C C、无线电信号 D D、声音信号
查看
单选
向量组α1,α2,…,αm(m≥2)线性相关的充要条件是( )。
A A、α1,α2,…,αm中至少有一个零向量 B B、α1,α2,…,αm中至少有两个向量成比例 C C、存在不全为零的常数k1,k2,…,km,使k1α1+k2α2+…+kmαm=0 D D、α1,α2,…,αm中每个向量都能由其余向量线性表示
查看
单选
16位二进制数是( )个字节。
A A、4 B B、2 C C、16 D D、32
查看
单选
[X1]反=01010,[X2]补=10011,则[X1+X2]补=( )。
A A、11101 B B、10001 C C、11001 D D、10010
查看
单选
单选题 已知一列平面简谐波沿Ox轴正向传播,波速u=400m·s-1,频率υ=20Hz,t=0时刻的波形曲线如图3所示,则波动表达式为( )。
A A B B C C D D E E
查看
单选
设L为椭圆,其方向是逆时针的,则=( )。
A A、πab B B、2πab C C、-πab D D、-2πab
查看
单选
施工单位应当组织专家对专项施工方案进行论证、审查的工程是( )。
A A、脚手架工程 B B、爆破工程 C C、模板工程 D D、地下暗挖工程
查看
刷题小程序
热门试卷
注册结构工程师《公共基础考试》模拟卷1
注册结构工程师《公共基础考试》模拟卷2
注册结构工程师《公共基础考试》模拟卷3
注册结构工程师《公共基础考试》模拟卷4
注册结构工程师《公共基础考试》预测卷1
注册结构工程师《公共基础考试》预测卷2
注册结构工程师《公共基础考试》预测卷3
注册结构工程师《公共基础考试》预测卷4