首页
考研
最新考研题库
中外美术史23新版
建筑类
二级建造师
一级建造师
一级造价工程师
监理工程师
安全工程师
一级消防工程师
消防设施操作员
医学类
主治类
执业药师
护师(初级)资格证考试
主管护师(中级)资格证考试
护士资格证考试
医师类
中药学类
金融类
基金从业资格
银行从业资格
证券从业资格
期货从业资格
银行招聘考试
财会类
初级经济师
中级经济师
初级会计师
中级会计师
注册会计师
税务师
资产评估师
教师类
中学教师笔试
小学教师笔试
幼儿教师笔试
幼儿结构化面试
幼儿专业面试
中小学结构化面试
学历提升
成考(专升本)
成考(高起本、高起专)
自考
网校课程
登录
注册好礼
我的主页
我的提问
我的回答
退出
当前位置:
首页
>
城乡规划相关知识
>
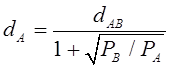
两个城市间的分界点(即断裂点)可以用公式求出。其中PA表示( )。
单选
两个城市间的分界点(即断裂点)可以用公式
求出。其中PA表示( )。
A 从断裂点到A城的距离
B A和B两个城市间的距离
C 较小城市B城的人口
D 较大城市A城的人口
正确答案
D
查看解析
搜索
相关试题
单选
下列关于城市地域概念的表述,错误的是( )。
A 城市建成区是城市研究中最基本的城市地域概念 B 城市实体地域的边界是明确的 C 城市实体地域的边界随着城市的发展不断向外拓展 D 城市实体地域一般比功能地域要大
查看
单选
城市通信工程规划系统中,将用户的信息资料(包括固体、液体和气体的)由( )进行传输的行为称为邮政。
A 快递方式 B 人工方式 C 无线电方式 D 有线电方式
查看
单选
利用不同时相的卫星影像对比,规划监测不能发现的是( )。
A 城市扩张 B 违法建设 C 地籍变化 D 违法用地
查看
单选
下列哪项不属于城镇体系规划的基本内容?( )
A 城镇综合承载能力 B 城镇规模等级体系 C 城镇职能分工协作 D 区域城镇空间结构
查看
单选
在城市经济的长期增长中,下列哪项投入要素的限制性最大?( )
A 资本 B 劳动 C 土地 D 技术
查看
单选
下列关于城镇体系规划或区域规划中城镇发展条件评价的表述,错误的是( )。
A 评价中应假定规划期内区域发展条件相对不变 B 选取的评价标准必须具有比较意义 C 指示体系要反应城市所在区域整体特征 D 指标体系要考虑城市建设发展条件
查看
单选
下列不属于韦伯工业区位论基本的假定条件的是( )。
A 已知原料供给地的地理分布 B 已知产品的价格 C 已知产品的消费地与规模 D 劳动力存在于多数的已知地点
查看
单选
下列关于相关技术结合效果的表述,错误的是( )。
A CAD与遥感相结合,将显著提高规划的监测水平 B 互联网与CAD相结合,使远程协同设计得到发展 C GIS与遥感相结合,促进了空间信息的共享和利用 D CAD与GIS相结合,加强了规划设计与规划管理之间的联系
查看
单选
下列哪项因素会影响到地租与地价的关系?( )
A 税收 B 利率 C 房价 D 利润
查看
单选
某城市为了缓解地铁的拥挤,提高出行高峰时段的票价,下列哪种情况会影响这一措施的效果?( )
A 需求弹性大 B 需求弹性小 C 供给弹性大 D 供给弹性小
查看
刷题小程序
热门试卷
注册城乡规划师《城乡规划相关知识》模拟卷1
注册城乡规划师《城乡规划相关知识》模拟卷2
注册城乡规划师《城乡规划相关知识》模拟卷3
注册城乡规划师《城乡规划相关知识》模拟卷4
注册城乡规划师《城乡规划相关知识》模拟卷5
注册城乡规划师《城乡规划相关知识》模拟卷6
注册城乡规划师《城乡规划相关知识》模拟卷7
注册城乡规划师《城乡规划相关知识》模拟卷8
注册城乡规划师《城乡规划相关知识》模拟卷9
注册城乡规划师《城乡规划相关知识》模拟卷10
注册城乡规划师《城乡规划相关知识》预测卷1
注册城乡规划师《城乡规划相关知识》预测卷2
注册城乡规划师《城乡规划相关知识》预测卷3
注册城乡规划师《城乡规划相关知识》预测卷4
注册城乡规划师《城乡规划相关知识》预测卷5