分析

案例分析题
某市计划测制本地区的1:2 000比例尺的地形图,前期工作是对本地区进行航空摄影。
摄区东西长132 km,南北长112 km,为一矩形区域,总面积为14 784 km 2 。全测区包含平地和丘陵地两种地形,其中绝大多数是平地,约占整个测区80%的面积,主要位于测区南部的大部分地区;测区内有少量丘陵地区,主要集中在测区的北部,其面积约占整个测区面积的20%;海拔高度平地最低点为52 m,最高海拔为345 m。测区内低点平均高程为75 m,高点平均高程为234 m。
航空摄影基本技术要求如下。
1.航空摄影采用传统的航空摄影方式,航摄仪型号为RC—30,像幅为23 cm*23 cm,航摄仪焦距为152 mm,影像扫描分辨率为0.02 mm,像片类型为真彩色。
2.航摄比例尺为1:20 000。
3.航向重叠要求为65%,最小不得小于60%;旁向重叠要求为35%,最小不得小于25%。
4.航线敷设按常规的东西向敷设;航向覆盖超出测区边界线不少于2条基线,旁向覆盖超出测区边界线不少于像幅的50%。
5.采用CPS导航,按设计坐标曝光,不敷设构架航线。 问题
(1)航空摄影项目包括哪些内容?
(2)航空摄影技术设计书包括哪些内容?
(3)航摄分区的原则是什么?
(4)航摄项目应提交哪些资料?
(5)根据案例计算以下摄影参数:摄影基准面,相对航高、绝对航高,摄区最高点和最低点重叠度,航摄分区数,摄区航线条数、每条航线像片数。

正确答案

(1)(参见7.2考点1)
测绘航空摄影项目主要包括航摄空域申请、编写航空摄影技术设计书、航摄比例尺的选择、航摄分区的划分、航摄基本参数计算(航摄因子计算)、航摄季节和航摄时间的选择、航摄仪的选择与检定、航空胶片的选择和测定、航空摄影、航空摄影影像处理、成果质量检查和成果整理与验收。
(2)(参见7.2考点3)
航空摄影技术设计书包括任务来源、摄区概况、主要技术依据、技术设计、实施方案、质量控制与保障、成果整理和提交成果资料等内容。
(3)航摄分区的原则如下(参见7.2考点6)。
①分区的界线应与测图的图廓线一致。
②当航摄比例尺小于1:7 000时,分区内的地形高差不应大于相对航高的1/4(以分区的平均高度平面为摄影基准面的航高);当航摄比例尺大于或等于1:7 000时,分区内的地形高差不应大于相对航高的1/6。分区内的地形高差(△H)=h 高平均 -h 低平均 。
③在地形高差符合相关规定时,且能够确保航线的直线性的前提下,分区的跨度应尽量划大。
④当地面高差突变,地形特征差别显著或有特殊要求时,可以破图廓线划分航摄分区。
(4)航摄项目需要移交的资料主要包括(参见7.2考点9):
①摄区范围图(摄区略图);
②摄区航线、像片结合图;
③航摄底片、晒印的像片、航片索引图和像片:
④航摄仪检定记录和数据;
⑤航摄底片压平质量检测数据表;
⑥航摄底片密度抽样测定数据表;
⑦附属仪器记录数据和相关资料;
⑧成果质量检查报告、航摄鉴定表;
⑨有关的登记表和移交清单;
⑩合同规定的其他资料等;
⑧验收报告。
(5)计算方法和结果如下。
①摄影基准面。
h 基 =(h 高平均 +h 低平均 )/2=(234+75)/2=154.5m
②相对航高、绝对航高。
H 相 =m *f =20 000*152.4 *0. 001 =3 048 m
H 绝 =H 相 + h 基 =3 048 +154.5 =3 202.5 m
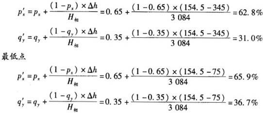
③摄区最高点和最低点重叠度。
最高点

④航摄分区数。
该区的高差为345 -52 =293 m,小于相对航高3 048的1/4,该区只需一个摄区。
⑤摄区航线条数、每条航线像片数。
基线长度
B x =L x (1 -p x )*m=230*(1-0. 65)*20 =1 610 m
航线间隔
D y =L y (1-q y ) *m=230*(1-0. 35) *20 =2 990 m
分区航线条数=分区宽度/D y =112000/2990=38条
每条航线像片数=INT(每条航线长度/ B x +1)+1=INT(132000/1610+1)+1=83张
分区像片数=


查看解析

相关试题

刷题小程序
测绘案例分析题库小程序
热门试卷