1.根据《全球定位系统(GPS)测量规范》(GB/T 18314—2009)12.2.4条和12.2.5条规定,重复基线的长度较差应满足下式的要求:

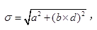
其中,基线测量误差为:

d为基线边长。
将相关数据代入上式有:

本题中,往返较差为95.5mm<144.2mm,故不超限。
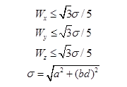
2.首先计算基线测量误差:

实测得:Wx=60.4mm,Wy=160.3mm,Wz=90.5mm。
Wx、Wz小于其容许值,但Wy=160.3mm>131.8mm,故判定该独立环闭合差超限。
3.该项目GPS数据处理流程如下:
(1)数据准备,将全部数据文件导入处理软件;
(2)已知数据导入(5个高等级三角点的1980年西安坐标系坐标);
(3)基线解算,主要完成外业观测数据质量检核和基线精处理结果检核,具体包括对基线精度、同步环、独立环和重复基线闭合差、较差情况的考察、分析和处理,必要时对某些测站进行重测;
(4)WGS-84坐标系下三维平差(无约束平差)及其精度分析并决定处理办法;
(5)1980年西安坐标系下二维平差(利用5个高等级三角点1980年西安坐标系坐标作为约束条件的约束平差)及其精度分析并决定处理办法;
(6)输出平差结果。
附注:GPS网平差流程图如图1-1所示。

4.根据题中已有观测条件,可利用联测的5个高等级三角点成果,采用平面二维四参数转换模型整体进行坐标转换方法。具体步骤如下:
(1)将5个高等级三角点的1980西安坐标系坐标通过换带计算转换为中央子午线与城市独立坐标系中央子午线(×××°15′)相同的任意带坐标(x,y);
(2)选定用于计算坐标转换参数的重合点(不得少于2个);
(3)确定计算坐标转换参数方法与模型;
若5个高等级三角点的1980年西安坐标系坐标为(x,y)及城市独立坐标系坐标为
(x′,y′),可利用下面的计算坐标转换参数模型:

其中,Δx,Δy为平移参数,k为尺度参数,α为旋转参数。
根据最小二乘原理,即可求出Δx、Δy、k、α等转换参数。
(4)分析重合点坐标转换残差,若残差合限,则转换参数计算完成。否则,剔除粗差点,重新计算转换参数。