1.由题意,GPS控制点数n=10+3,接收机数k=3,3台接收机只能构成一个简单的三角形同步图形,边连接是指相邻的同步图形间有一条边(即两个公共点)相连,3台GPS接收机为了完成C级测量,至少要构成v=8个同步图形,两个同步图形有u=2个公共点,全网观测时段数C=11;基线向量总数J总=C×k×(k-1)/2=33条;独立基线向量数J独=C×(k-1)=11×2=22条。
2.各坐标分量残差:
Wx=14876.383+(-7285.821)+(-7590.560)=-0.002m
Wy=2631.812+14546.403+(-17178.218)=-0.003m
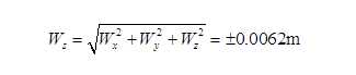
WZ=8104.319+(-15378.581)+7274.257=-0.005m
同步环闭合差:

3.(1)测区高程异常拟合模型的建立过程:
①选点
选取n个(n一般要求大于待估参数个数,本题待估参数为6)在测区内分布合适的公共点(同时具有三等水准高程和GPS大地高程点)。设各点数据为(xi,yi,Hi,hi,其中i=1,2,…,n),H为大地高,h为水准高程。
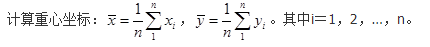
②坐标重心化:

公共点坐标重心化:,。其中i=1,2,…,n。
坐标重心化的目的是提高计算精度(注:坐标重心化不是必须要做的)。
③计算高程异常:
计算公共点高程异常:ξi=Hi-hi。其中i=1,2,…,n。
④建立误差方程:
按公式
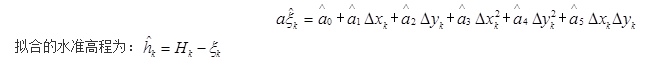
νi=a0+a1Δxi+a2Δyi+a3Δxi2+a4Δyi2+a5ΔxiΔyi-ξi
建立误差方程,v为改正数。应用最小二乘原理计算得到待估参数aj的估值aj(其中j=1,2,…,6)。
⑤建立拟合模型:
测区待定点k的高程异常按以下模型计算:

(2)检验本项目高程异常拟合模型的精度:
①按上述似大地水准面模型计算的各检验点高程异常ξ计与其实测高程异常ξ测计算高程异常不符值Δ(Δ=ξ计-ξ测);
②计算高程异常不符值的中误差,作为似大地水准面精度检验。
(3)求取参与拟合的联测点拟合后的中误差,可得内符合精度,将检核点代入模型计算,求取得到的中误差即为外符合精度。