分析

案例分析题
地区坐标转换
1)项目背景
随着社会和测绘技术的发展、经济建设的需要,为了达到测绘资料成果的充分共享,必须将原有的测绘成果资料统一到同一个基准下。 2008年7月,我国新一代地心坐标系——2000国家大地坐标系(CGCS 2000)正式启用,基于1 9 5 4年北京坐标系(BJ54)和1 9 80西安坐标系(XA80)的各种坐标成果将随之需要转换到CGCS 2000。
××地区原有的测绘成果大都为地方坐标系测绘成果,需要将这些成果转换为CGCS 2000。
2)测区已有资料
(1)控制点×××个,地方高斯平面直角坐标系,中央子午线为L。 。
(2)国家一、二等大地控制点×××个,CGCS 2000。
3)问题
(1)根据案例背景回答我国常用的坐标系有哪些?CGCS 2000是怎么定义的?
(2)坐标转换有哪些形式?根据案例提供资料可否实现地方坐标系到CGCS 2000的坐标转换?
(3)简述坐标转换原理。怎样建立地方坐标系统与CGCS 2000的联系?
(4)若该地区有A ol ~A ok 等点的CGCS 2000高斯平面坐标(x,y) CGCS 2000 ,中央子午线L o ,简述通过GPS技术获得该地区控制网网中其他n个点[B ol ~B on ,地方高斯平面坐标系(x,y) DiFan ]CGCS 2000坐标的步骤。
(5)将地方坐标系测绘成果转换为CGCS 2000坐标后,怎样评定坐标转换精度?

正确答案

地区坐标转换
(1)根据案例背景回答我国常用的坐标系有哪些?CGCS 2000是怎么定义的?
①我国常用坐标系
a.属于参心坐标系的:1 9 54年北京坐标系、1 9 80西安坐标系、新1 9 5 4年北京坐标系、以任意子午线为中央子午线的高斯一克吕格平面直角坐标系(也称地方坐标系)。
b.属于地心坐标系的:WGS-84坐标系、2000国家大地坐标系(CGCS 2000)。
②CGCS 2000的定义
a.2000国家大地坐标系的定义,包括坐标系的原点、三个坐标轴的指向、尺度及地球椭球的4个基本参数的定义。
b.2000国家大地坐标系的原点,为包括海洋和大气的整个地球的质量中心。
c.2000国家大地坐标系的Z轴由原点指向历元2000.0的地极参考极的方向,该历元的指向由国际时间局给定的历元为1984.0的初始指向推算,定向的时间演化保证相对于地壳不产生残余的全球旋转;X轴由原点指向格林尼治参考子午线与地球赤道面(历元2000.0)的交点;Y轴与Z轴、X轴构成右手正交坐标系。
d.采用广义相对论意义上的尺度。
e.2000国家大地坐标系采用的地球椭球参数如下:
长半轴 a=6378137 m
扁率 a=1/298. 257222101
地心引力常数 G.M=3.986004418*10 14 m 3 /s 2
自转角速度 w=7. 292115*10 -5 rad/s
(2)坐标转换有哪些形式?根据案例提供资料可否实现地方坐标系到CGCS 2000的坐标转换?
①坐标转换分类。
a.同一坐标系下不同坐标形式的转换,包括空间直角坐标(X,Y,Z)与大地坐标(大地纬度B,大地经度L,大地高H)相互转换、大地坐标(大地纬度B,大地经度L)与高斯平面坐标(x,y)间的相互转换。
b.不同坐标系的转换,包括不同空间直角坐标系的转换、不同大地坐标系的转换。不同空间直角坐标系的转换,既包括不同参心空间直角坐标系的转换,也包括参心空间直角坐标系的转换和地心空间直角坐标系的转换。不同大地坐标系的转换,既包括不同参心大地坐标系的转换,也包括参心大地坐标系的转换和地心大地坐标系的转换。
②仅根据案例提供资料不能实现地方坐标系到CGCS 2000的坐标转换,因为没有提供重合点情况,不能建立两个坐标系之间的联系。


地区坐标转换
(1)根据案例背景回答我国常用的坐标系有哪些?CGCS 2000是怎么定义的?
①我国常用坐标系
a.属于参心坐标系的:1 9 54年北京坐标系、1 9 80西安坐标系、新1 9 5 4年北京坐标系、以任意子午线为中央子午线的高斯一克吕格平面直角坐标系(也称地方坐标系)。
b.属于地心坐标系的:WGS-84坐标系、2000国家大地坐标系(CGCS 2000)。
②CGCS 2000的定义
a.2000国家大地坐标系的定义,包括坐标系的原点、三个坐标轴的指向、尺度及地球椭球的4个基本参数的定义。
b.2000国家大地坐标系的原点,为包括海洋和大气的整个地球的质量中心。
c.2000国家大地坐标系的Z轴由原点指向历元2000.0的地极参考极的方向,该历元的指向由国际时间局给定的历元为1984.0的初始指向推算,定向的时间演化保证相对于地壳不产生残余的全球旋转;X轴由原点指向格林尼治参考子午线与地球赤道面(历元2000.0)的交点;Y轴与Z轴、X轴构成右手正交坐标系。
d.采用广义相对论意义上的尺度。
e.2000国家大地坐标系采用的地球椭球参数如下:
长半轴 a=6378137 m
扁率 a=1/298. 257222101
地心引力常数 G.M=3.986004418*10 14 m 3 /s 2
自转角速度 w=7. 292115*10 -5 rad/s
(2)坐标转换有哪些形式?根据案例提供资料可否实现地方坐标系到CGCS 2000的坐标转换?
①坐标转换分类。
a.同一坐标系下不同坐标形式的转换,包括空间直角坐标(X,Y,Z)与大地坐标(大地纬度B,大地经度L,大地高H)相互转换、大地坐标(大地纬度B,大地经度L)与高斯平面坐标(x,y)间的相互转换。
b.不同坐标系的转换,包括不同空间直角坐标系的转换、不同大地坐标系的转换。不同空间直角坐标系的转换,既包括不同参心空间直角坐标系的转换,也包括参心空间直角坐标系的转换和地心空间直角坐标系的转换。不同大地坐标系的转换,既包括不同参心大地坐标系的转换,也包括参心大地坐标系的转换和地心大地坐标系的转换。
②仅根据案例提供资料不能实现地方坐标系到CGCS 2000的坐标转换,因为没有提供重合点情况,不能建立两个坐标系之间的联系。
(3)简述坐标转换原理。怎样建立地方坐标系统与CGCS 2000的联系?
①坐标转换原理。
坐标转换原理:选择适当(具有一定密度且分布均匀)的重合点,利用所选重合点的两种坐标系的坐标,采用适当的坐标转换模型计算两坐标系之间的坐标转换参数,再将转换参数带回坐标转换模型求得非重合点在所求坐标系的坐标。
②建立地方坐标系统与2000国家大地坐标系的联系。
a.利用坐标转换方法将地方坐标系统下控制点成果转换到2000国家大地坐标系下。
b.重合点:坐标转换时,在两个坐标系中都拥有坐标的大地点,也称为公共点。
c.重合点选取原则:高等级、高精度、不含粗差的国家控制点,分布均匀、覆盖转换区域、周围和中心都有重合点,选适当均匀分布的重合点检核坐标转换精度。
d.重合点资料获取:实测获取和收集获取。
e.确定转换模型计算坐标转换参数:地方坐标系统是平面坐标系统时采用采用4参数转换模型,重合点数目至少2个;地方坐标系统是空间直角坐标系统时采用Bursa七参数转换模型,重合点数目至少3个;通过重合点计算相应模型的坐标转换参数。重合点较多时,也可使用多元回归模型。
f.重合点兼容性分析:分析重合点坐标转换残差,或利用检查点(未参加坐标转换参数计算的重合点)进行转换参数检验,剔除粗差点。坐标转换残差满足精度要求(合格)时,计算最终的坐标转换参数并估计坐标转换精度。
g.根据计算的转换参数计算待转换点的CGCS 2000坐标。坐标转换中误差应小于0. 05m。
(4)若该地区有A ol ~A ok 等点的CGCS 2000高斯平面坐标(x,y) CGCS 2000 ,中央子午线L o ,简述通过GPS技术获得该地区控制网网中其他n个点[B ol ~B on ,地方高斯平面坐标系(x,y) DiFan ]CGCS 2000坐标的步骤。
步骤如下:
①重合点选取:从B ol ~B on 行选取m个均匀分布的控制点,不妨假设编号为B ol ~B on 。
②GPS联测:利用GPS技术测量得到的A ol ~A ok 、B ol ~B om 各点WGS-84坐标系的大地坐标(B,L,H) WGS-84 。
③中央子午线取L o ,利用高斯投影将A ol ~A ok 、B ol ~B om 各点大地坐标(B,L) WGS-84 变换
为高斯平面坐标(x, y) WGS-84 。
④利用平面四参数转换模型,通过A ol ~A ok 的(x,y) CGCS 2000 与(x,y) WGS-84 计算WGS-84坐标系的高斯坐标到CGCS 2000高斯坐标的转换参数,设为CanShu WGS84-2000 。
⑤利用平面四参数转换模型,通过B ol ~B on 的(x,y) Difan 与(x,y) WGS-84 计算地方坐标系的高斯坐标到WGS-84坐标系的高斯坐标的转换参数,设为CariShu Difan-WGS84 。
⑥利用平面四参数转换模型和CanShU) Difan-WGS84 ,计算B ol ~B on 中除了m个重合点外的非重合点在WGS-84高斯坐标(x,y) WGS-84 。
⑦利用平面四参数转换模型和“④”得到的CanShu WGS84-2000 与“⑥”得到的(x,y) WGS-84 ,计算B ol ~B on 的(x,y) CGCS 2000 。
注:也可利用GPS测量A ol ~A ok 和B ol ~B on ,然后进行坐标转换,但是这样的方案完全舍弃了地方坐标系的成果。
(5)将地方坐标系测绘成果转换为CGCS 2000坐标后,怎样评定坐标转换精度?
①坐标转换精度评定方法:依据计算坐标转换参数的重合点的残差中误差评估坐标转换精度。
②残差计算。
设参加转换参数计算的重合点数目为n,则第i个重合点的残差v i 为:
v i =第i个重合点转换坐标-第i个重合点已知坐标 (i=1,2,…,n)
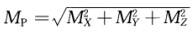
③空间直角坐标转换精度评定。
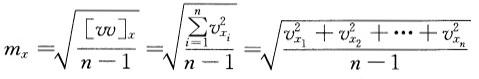
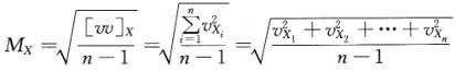
空间直角坐标X残差中误差为:

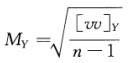
空间直角坐标Y残差中误差为:

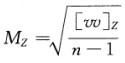
空间直角坐标Z残差中误差为:

则点位中误差为:

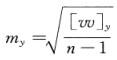
④平面直角坐标转换精度评定。
平面直角坐标x残差中误差为:

平面直角坐标y残差中误差为:

大地高H残差中误差为:
查看解析

相关试题

刷题小程序
测绘案例分析题库小程序
热门试卷