分析

案例分析题
三等控制网
1)工程概况
××市的现有基础控制网,因自然环境变化、城市扩张、人为活动等因素的影响,目前的大地控制网点难以满足经济建设发展的需要。为了保证基础控制网的功能,计划在区域范围内利用全球导航卫星系统(GNSS)技术建立三等大地控制网。
2)问题
(1)根据项目要求,确定GNSS技术测量等级和观测技术规定。
(2)××测绘院用7台GPS接收机采用边连接方式完成全部3 5个GPS点的观测,试计算该网特征数。
(3)某个外业同步环结果见表1-14。若取σ=5cm,试对该测量成果进行评价。


正确答案

三等控制网
(1)根据项目要求,确定GNSS技术测量等级和观测技术规定。
①确定测量精度等级
a.国家三等大地控制网技术要求。国家三等大地控制网相邻点间基线水平分量的中误差不应大于±10mm,垂直分量的中误差不应大于±20mm;各控制点的相对精度应不低于1*10 -6 ,其点间平均距离不应超过20km。
b.GPS测量精度。 B、C、D、E级GPS网测量精度见表1-16 。

C.GNSS技术测量等级选择。根据国家三等大地控制网技术要求和GPS测量精度要求,确定该市控制网采用C级GNSS测量。
②观测要求
C级GPS网观测的基本技术规定如下:a.卫星截止高度角为15°;b.同时观测有效卫星数≥4颗;c.有效观测卫星总数≥6颗;d.观测时段数≥2;e.时段长度≥4h;f.采样间隔为10~30s。
(2)××测绘院用7台GPS接收机采用边连接方式完成全部3 5个GPS点的观测,试计算该网特征数。
GPS控制点数n=3 5,接收机数k=7 。
①重复点计算
边连接是指相邻的同步图形间有一条边(即两个公共点)相连,重复点数计算式为:
w=u*(v-1)
式中:w——重复点数;
u——公共点数;
v——同步图形数。
7台GPS接收机为了完成3 5个点的测量,至少要构成v=7个同步图形,两个同步图形有u=2个公共点,所以w=2*( 7-1) =12。
②平均重复设站数
m=(n+w)/n=(35+12)/35=1. 34
③GPS网特征数计算
全网观测时段数C=n*m/k=35*1.34/7≈7
基线向量总数J 总 C*{[k*(k-1)]/2}=7*[(7*6)/2]=147条
独立基线向量数J 独 =C*(k-1)=7*6=42条
必要基线向量数J 必 =n-1=34条
多余基线向量数J 多 =J 独 -J 必 =42 - 34=8条
(3)某个外业同步环结果见表1-14 。若取σ=5cm,试对该测量成果进行评价。
①计算闭合差
W x =∑△X=△X AB +△X BC +△X CA =451. 002+274. 165 - 725. 102=0.065m=65mm
W y =∑△Y=△Y AB +△Y BC +△Y CA =1392. 543 - 4390. 400+2997. 837=-0.020m=-20mm
W z =∑△Z=△Z AB +△Z BC +△Z CA =318.865 - 3767.7500+3448.848=-0.037m=-37mm
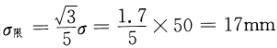
②计算限差
σ=5cm=50mm,限差:
③结论
由于W x 、W y 、W z 均大于限差,同步环检验不合格,成果不可靠。
查看解析

相关试题

刷题小程序
测绘案例分析题库小程序
热门试卷