首页
考研
最新考研题库
中外美术史23新版
建筑类
二级建造师
一级建造师
一级造价工程师
监理工程师
安全工程师
一级消防工程师
消防设施操作员
医学类
主治类
执业药师
护师(初级)资格证考试
主管护师(中级)资格证考试
护士资格证考试
医师类
中药学类
金融类
基金从业资格
银行从业资格
证券从业资格
期货从业资格
银行招聘考试
财会类
初级经济师
中级经济师
初级会计师
中级会计师
注册会计师
税务师
资产评估师
教师类
中学教师笔试
小学教师笔试
幼儿教师笔试
幼儿结构化面试
幼儿专业面试
中小学结构化面试
学历提升
成考(专升本)
成考(高起本、高起专)
自考
网校课程
登录
注册好礼
我的主页
我的提问
我的回答
退出
当前位置:
首页
>
测绘综合能力
>
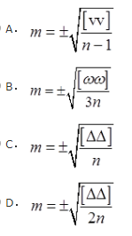
单选题 下列公式中,由两次重复测量较差计算单次测量中误差的公式是( )
单选
单选题 下列公式中,由两次重复测量较差计算单次测量中误差的公式是( )
A A
B B
C C
D D
E E
正确答案
D
查看解析
搜索
相关试题
单选
行政区域界线测量工作中,完整的界桩编号共有8位,其中表示边界线编号的数字位数有( )位。
A 1 B 2 C 3 D 4
查看
单选
下列准则中,不属于设计阶段评定工程控制网质量的准则是( )。
A 精度准则 B 可靠性准则 C 费用准则 D 平衡准则
查看
单选
我国1:100万地形图采用的投影是( )。
A 正轴等角双标准纬线圆锥投影 B 高斯-克吕格投影 C UTM投影 D 正轴等面积双标准纬线圆锥投影
查看
单选
城镇土地调查中,对难以调解处理的争议土地和未确定使用权的土地,可仅调查( )。
A 使用权人 B 土地面积 C 土地地类 D 争议原由
查看
单选
现行规范规定,车载导航电子地图数据集中重要内容的更新周期最长不超过( )。
A 1个月 B 3个月 C 1年 D 2年
查看
单选
现行《遥感图像平面图制作规范》规定,地物点平面位置中误差在平地和丘陵地不得大于图上( )mm。
A ±0.50 B ±0.75 C ±1.00 D ±1.50
查看
单选
下列数据中,不属于导航电子地图数据的是( )。
A 地形地貌数据 B 道路数据 C 行政境界数据 D 兴趣点数据
查看
单选
现行《谣感影像公开使用管理规定(试行)》规定,公众版网络地理信息服务数据一的影像分辨率不得优于()m。
A 0.5 B 1.0 C 2.5 D 5.0
查看
单选
下列专题地图表示方法中,宜用来表示货物运输的方向、数量的是( )。
A 运动线法 B 质底法 C 分级统计图法 D 分区统计图表法
查看
单选
现行界线测绘应采用的坐标系统与高程基准是( )。
A 2000国家大地坐标系和1985国家高程基准 B 1980西安坐标系和1985国家高程基准 C 2000国家大地坐标系和1956黄海高程系 D 1980西安坐标系和1956黄海高程系
查看
刷题小程序
热门试卷
注册测绘师《测绘综合能力》模拟卷1
注册测绘师《测绘综合能力》模拟卷2
注册测绘师《测绘综合能力》模拟卷3
注册测绘师《测绘综合能力》模拟卷4
注册测绘师《测绘综合能力》预测卷1
注册测绘师《测绘综合能力》预测卷2