单选

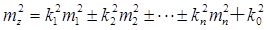
设有线性函数Z=K1X1±K2X2±…±KnXn±K0,则其中误差计算式为( )。

A
B
C
D

正确答案
B
查看解析

相关试题

单选
GNSS外业观测数据质量检核中,重复观测基线较差不应超过( )。
A <img border="0" alt="" src="https://tuku.weimei168.com/uploads/upimg/20251117/22417964_0.png"> B <img border="0" alt="" src="https://tuku.weimei168.com/uploads/upimg/20251117/22417964_0_1.png"> C <img border="0" alt="" src="https://tuku.weimei168.com/uploads/upimg/20251117/22417964_0_2.png"> D <img border="0" alt="" src="https://tuku.weimei168.com/uploads/upimg/20251117/22417964_0_3.png">
查看
单选
已知AB边方位角45°,观测∠ABC左角200°,则BC边方位角为( )。
A 45° B 55° C 65° D 75°
查看
单选
采用全站仪对某一目标进行垂直角观测,盘左读数为91°12′47″,盘右读数为268°47′03″,则垂直角为( )。
A 1°12′52″ B -1°12′52″ C 91°1′52″ D 88°47′08″
查看
单选
水准测量要求前后视距大致相等的目的在于削弱( )影响。
A 圆水准器轴与竖轴不平行的误差 B 十字横丝不垂直于竖轴的误差 C 读数误差 D 水准管轴与视准轴不平行的误差
查看
单选
水准测量的高程是( )。
A 正常高 B 正高 C 大地高 D 椭球高
查看
单选
用于卫星精密定轨的GPS测量应采用的是( )等级精度。
A A B B C C D D
查看
单选
钢尺丈量时,改正项错误的是( )。
A 气压改正 B 尺长改正 C 温度改正 D 倾斜改正
查看
单选
下列关于经纬仪三轴关系的描述,错误的是( )。
A 横轴垂直于纵轴 B 圆水准器轴垂直于纵轴 C 视准轴垂直于横轴 D 水准管轴垂直于竖轴
查看
单选
房产测量的基本工作不包括( )。
A 房产控制测量 B 房产调查 C 房产图绘制 D 房产登记
查看
单选
房产面积测算的精度分为( )个等级。
A 1 B 2 C 3 D 4
查看
刷题小程序
测绘综合能力题库小程序