首页
考研
最新考研题库
中外美术史23新版
建筑类
二级建造师
一级建造师
一级造价工程师
监理工程师
安全工程师
一级消防工程师
消防设施操作员
医学类
主治类
执业药师
护师(初级)资格证考试
主管护师(中级)资格证考试
护士资格证考试
医师类
中药学类
金融类
基金从业资格
银行从业资格
证券从业资格
期货从业资格
银行招聘考试
财会类
初级经济师
中级经济师
初级会计师
中级会计师
注册会计师
税务师
资产评估师
教师类
中学教师笔试
小学教师笔试
幼儿教师笔试
幼儿结构化面试
幼儿专业面试
中小学结构化面试
学历提升
成考(专升本)
成考(高起本、高起专)
自考
网校课程
登录
注册好礼
我的主页
我的提问
我的回答
退出
当前位置:
首页
>
电气工程师基础专业知识(基础考试)
>
正弦电流流过电容元件时,下列哪项关系是正确的?( )
单选
正弦电流流过电容元件时,下列哪项关系是正确的?( )
A A.Im=jωCUm
B B.uc=Xcic
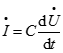
C C.
D D.
正确答案
C
查看解析
搜索
相关试题
单选
图电路中u=-2V,则3V电压源发出的功率应为下列哪项数值?( )
A A.10W B B.3W C C.-3W D D.-10W
查看
单选
如图所示,电压u为( )。
A A.100V B B.70V C C.50V D D.25V
查看
单选
列写节点方程时,如图所示电路中B点的自导为( )。
A A.9S B B.10S C C.13S D D.8S
查看
单选
图所示正弦电流电路已标明理想交流电压表的读数(对应电压的有效值),则电容电压的有效值为( )。
A A.10V B B.30V C C.40V D D.90V
查看
单选
功率表测量的功率是( )。
A A.瞬时功率 B B.无功功率 C C.视在功率 D D.有功功率
查看
单选
若电路中L=4H,C=25pF时恰好有XL=XC,此时频率f为下列哪项数值( )。
A A.15.92kHz B B.16kHz C C.24kHz D D.36kHz
查看
单选
图所示对称三相电路中,已知,负载复阻抗Z=(40+j30)Ω,则图中电流IA等于( )A。
A A.7.6∠-69° B B.13.2∠-36.9° C C.7.6∠69° D D.13.2∠36.9°
查看
单选
图所示电路,t=0时,开关S由1扳向2,在t≤0时电路已达稳态,电感和电容元件的初始值i(0+)和uC(0+)分别是( )。
A A.4A,20V B B.4A,15V C C.3A,20V D D.3A,15V
查看
单选
如图所示电路中,t=0闭合开关S,且uC1(0-)=uC2(0-)=0,则uC1(0+)等于( )。
A A.6V B B.18V C C.4V D D.0
查看
单选
如图所示,iL(0-)=0,在t=0时闭合开关S后,电感电流iL(t)为( )。
A A.75A B B.75tA C C.3000tA D D.3000A
查看
刷题小程序
热门试卷
电气工程师《(供配电)专业基础》模拟卷1
电气工程师《(供配电)专业基础》模拟卷2
电气工程师《(供配电)专业基础》模拟卷3
电气工程师《(供配电)专业基础》模拟卷4
电气工程师《(发输变电)专业基础》模拟卷1
电气工程师《(发输变电)专业基础》模拟卷2
电气工程师《(发输变电)专业基础》模拟卷3
电气工程师《(发输变电)专业基础》模拟卷4
电气工程师《(发输变电)专业基础》模拟卷5
电气工程师《(发输变电)专业基础》模拟卷6
电气工程师《(发输变电)专业基础》预测卷1
电气工程师《(发输变电)专业基础》预测卷2
电气工程师《(发输变电)专业基础》预测卷3
电气工程师《(供配电)专业基础》预测卷1
电气工程师《(供配电)专业基础》预测卷2