首页
考研
最新考研题库
中外美术史23新版
建筑类
二级建造师
一级建造师
一级造价工程师
监理工程师
安全工程师
一级消防工程师
消防设施操作员
医学类
主治类
执业药师
护师(初级)资格证考试
主管护师(中级)资格证考试
护士资格证考试
医师类
中药学类
金融类
基金从业资格
银行从业资格
证券从业资格
期货从业资格
银行招聘考试
财会类
初级经济师
中级经济师
初级会计师
中级会计师
注册会计师
税务师
资产评估师
教师类
中学教师笔试
小学教师笔试
幼儿教师笔试
幼儿结构化面试
幼儿专业面试
中小学结构化面试
学历提升
成考(专升本)
成考(高起本、高起专)
自考
网校课程
登录
注册好礼
我的主页
我的提问
我的回答
退出
当前位置:
首页
>
电气工程师基础专业知识(基础考试)
>
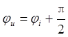
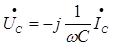
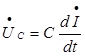
正弦电流通过电容元件时,下列关系正确的是( )。
单选
正弦电流通过电容元件时,下列关系正确的是( )。
A A.
B B.
C C.
D D.
正确答案
B
查看解析
搜索
相关试题
单选
如图所示,电路中的u应为( )。
A A.18V B B.12V C C.9V D D.8V
查看
单选
图电路中,测得US1=10V,电流I=10A。流过电阻R的电流I1为( )。
A A.3A B B.-3A C C.6A D D.-6A
查看
单选
用回路电流法求图电路中的电流I,最少需要列几个KVL方程?( )
A A.1个 B B.2个 C C.3个 D D.4个
查看
单选
如图所示,电路的戴维南等效电路参数Uoc和Req为下列何值?( )
A A.9V,2Ω B B.3V,4Ω C C.3V,6Ω D D.9V,6Ω
查看
单选
已知RLC串联电路,R=15Ω,L=12mH,C=5μF,ω=5000rad/s,则其端口的电压与电流的相位关系是( )。
A A.电压超前电流 B B.电流超前电压 C C.电压电流同相 D D.电压超前电流90°
查看
单选
在RLC串联电路中,XL=20Ω,若总电压维持不变而将L短路,总电流的有效值与原来相同;则XC应为下列何值?( )
A A.40Ω B B.30Ω C C.10Ω D D.5Ω
查看
单选
图电路中的R、L串联电路为日光灯的电路模型。将此电路接于50Hz的正弦交流电压源上,测得端电压为220V,电流为0.4A,功率为40W。电路吸收的无功功率Q为(
A A.76.5Var B B.78.4Var C C.82.4Var D D.85.4Var
查看
单选
已知如图所示正弦电流电路发生谐振时,电流表A1、A2的读数分别为4A和3A,则电流表A3的读数为下列何值?( )
A A.1A B B.7A C C.5A D D.不能确定
查看
单选
RLC串联电路中,在电容C上再并联一个电阻R1,则电路的谐振频率将( )。
A A.升高 B B.降低 C C.不变 D D.不确定
查看
单选
如图所示正弦交流电路中,已知Z=10+j50Ω,Z1=400+j1000Ω。当β为( )时,和的相位差为90°。
A A.-41 B B.41 C C.-51 D D.51
查看
刷题小程序
热门试卷
电气工程师《(供配电)专业基础》模拟卷1
电气工程师《(供配电)专业基础》模拟卷2
电气工程师《(供配电)专业基础》模拟卷3
电气工程师《(供配电)专业基础》模拟卷4
电气工程师《(发输变电)专业基础》模拟卷1
电气工程师《(发输变电)专业基础》模拟卷2
电气工程师《(发输变电)专业基础》模拟卷3
电气工程师《(发输变电)专业基础》模拟卷4
电气工程师《(发输变电)专业基础》模拟卷5
电气工程师《(发输变电)专业基础》模拟卷6
电气工程师《(发输变电)专业基础》预测卷1
电气工程师《(发输变电)专业基础》预测卷2
电气工程师《(发输变电)专业基础》预测卷3
电气工程师《(供配电)专业基础》预测卷1
电气工程师《(供配电)专业基础》预测卷2