首页
考研
最新考研题库
中外美术史23新版
建筑类
二级建造师
一级建造师
一级造价工程师
监理工程师
安全工程师
一级消防工程师
消防设施操作员
医学类
主治类
执业药师
护师(初级)资格证考试
主管护师(中级)资格证考试
护士资格证考试
医师类
中药学类
金融类
基金从业资格
银行从业资格
证券从业资格
期货从业资格
银行招聘考试
财会类
初级经济师
中级经济师
初级会计师
中级会计师
注册会计师
税务师
资产评估师
教师类
中学教师笔试
小学教师笔试
幼儿教师笔试
幼儿结构化面试
幼儿专业面试
中小学结构化面试
学历提升
成考(专升本)
成考(高起本、高起专)
自考
网校课程
登录
注册好礼
我的主页
我的提问
我的回答
退出
当前位置:
首页
>
电气工程师基础专业知识(基础考试)
>
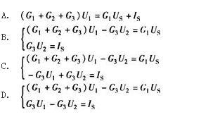
单选题 图所示电路的节点方程为应为下列四个中的( )。
单选
单选题 图所示电路的节点方程为应为下列四个中的( )。
A A
B B
C C
D D
E E
正确答案
C
查看解析
搜索
相关试题
单选
某电源向一负载电阻RL供电(见图)。当负载电阻RL从100Ω减至10Ω,负载电压U约下降1%,则该电源是( )。
A A.理想电压源 B B.理想电流源 C C.含有内阻R0≈0.1Ω的电压源 D D.不能确定
查看
单选
电路如图所示,若R、US、IS均大于零,则电路的功率情况( )。
A A.电阻吸收功率,电压源与电流源供出功率 B B.电阻与电流源吸收功率,电压源供出功率 C C.电阻与电压源吸收功率,电流源供出功率 D D.电阻吸收功率,供出功率无法确定
查看
单选
单选题 如图所示,L1=L2=10H,C=1000μF,M从0变至6H时,谐振角频率的变化范围应为( )rad/s。
A A B B C C D D E E
查看
单选
变压器空载合闸时可能产生很大的冲击电流,原因主要在于( )。
A A.电网电压瞬时值过高 B B.磁路有一定的剩磁,主磁通的暂态变化 C C.主磁通的暂态变化 D D.磁路有一定的剩磁
查看
单选
为达到安装较少的补偿设备容量的目的,选变压器分接头的情况应为( )。
A A.最小方式时电容器全部投入 B B.最小方式时电容器全部退出 C C.最大方式时电容器全部投入 D D.最大方式时电容器全部退出
查看
单选
电晕放电是一种( )。
A A.自持放电 B B.非自持放电 C C.电弧放电 D D.均匀场中放电
查看
单选
在电压波动频繁的场合,( )调压方式效果较理想。
A A.改变发电机端电压 B B.改变变压器变比 C C.并联无功补偿 D D.串联电容补偿
查看
单选
以下几种方法中在抑制空载线路分闸过电压时相对最为有效的是( )。
A A.采用多油断路器 B B.采用中性点绝缘系统 C C.采用六氟化硫断路器 D D.中性点经消弧线圈接地
查看
单选
在图所示电路中,已知US=2V,IS=1A。A、B两点间的电压UAB为( )V。
A A.-1 B B.0 C C.1 D D.不能确定
查看
单选
图所示电路中,7V电压源吸收功率为( )W。
A A.14 B B.-7 C C.-14 D D.7
查看
刷题小程序
热门试卷
电气工程师《(供配电)专业基础》模拟卷1
电气工程师《(供配电)专业基础》模拟卷2
电气工程师《(供配电)专业基础》模拟卷3
电气工程师《(供配电)专业基础》模拟卷4
电气工程师《(发输变电)专业基础》模拟卷1
电气工程师《(发输变电)专业基础》模拟卷2
电气工程师《(发输变电)专业基础》模拟卷3
电气工程师《(发输变电)专业基础》模拟卷4
电气工程师《(发输变电)专业基础》模拟卷5
电气工程师《(发输变电)专业基础》模拟卷6
电气工程师《(发输变电)专业基础》预测卷1
电气工程师《(发输变电)专业基础》预测卷2
电气工程师《(发输变电)专业基础》预测卷3
电气工程师《(供配电)专业基础》预测卷1
电气工程师《(供配电)专业基础》预测卷2