首页
考研
最新考研题库
中外美术史23新版
建筑类
二级建造师
一级建造师
一级造价工程师
监理工程师
安全工程师
一级消防工程师
消防设施操作员
医学类
主治类
执业药师
护师(初级)资格证考试
主管护师(中级)资格证考试
护士资格证考试
医师类
中药学类
金融类
基金从业资格
银行从业资格
证券从业资格
期货从业资格
银行招聘考试
财会类
初级经济师
中级经济师
初级会计师
中级会计师
注册会计师
税务师
资产评估师
教师类
中学教师笔试
小学教师笔试
幼儿教师笔试
幼儿结构化面试
幼儿专业面试
中小学结构化面试
学历提升
成考(专升本)
成考(高起本、高起专)
自考
网校课程
登录
注册好礼
我的主页
我的提问
我的回答
退出
当前位置:
首页
>
电气工程师基础专业知识(基础考试)
>
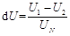
电力系统电压降落定义为( )。
单选
电力系统电压降落定义为( )。
A A.
B B.
C C.
D D.
正确答案
A
查看解析
搜索
相关试题
单选
图电路中,1A电流源发出的功率为( )。
A A.6W B B.-2W C C.2W D D.-6W
查看
单选
如图所示电路中u=-10V,则6V电压源发出的功率为下列何值?( )
A A.9.6W B B.-9.6W C C.2.4W D D.-2.4W
查看
单选
图电路中,已知US=12V,R1=15Ω,R2=30Ω,R3=20Ω,R4=8Ω,R5=12Ω,电流I为( )。
A A.2A B B.1.5A C C.0.8A D D.0.5A
查看
单选
如图所示电路的戴维南等效电路参数Uoc和Req应为下列哪项数值?( )
A A.3V,1.2Ω B B.3V,1Ω C C.4V,14Ω D D.3.6V,1.2Ω
查看
单选
如图所示,电压u为( )。
A A.100V B B.70V C C.50V D D.25V
查看
单选
如图所示,R1=3Ω,L=2H,u=30cos2t(V),i=5cos2t(A),确定方框内无源二端网络的等效元件为( )。
A A.R=3Ω,C=1/8F B B.R=4Ω,C=1/4F C C.R=4Ω D D.C=1/8F
查看
单选
已知正弦电流的初相角为60度,在t=0时刻的瞬时值为8.66A,经过1/300秒后电流第一次下降为0,则其频率应为下列哪项?( )
A A.314Hz B B.50Hz C C.100Hz D D.628Hz
查看
单选
RLC串联电路中,在电容C上再并联一个电阻R,则电路的谐振频率将( )。
A A.升高 B B.降低 C C.不变 D D.不确定
查看
单选
如图中,若R=10Ω,L1=1mH,L2=2/3mH,则C2的值为( )。
A A.150μF B B.200μF C C.250μF D D.500μF
查看
单选
如图所示对称三相电路,线电压380V,每相阻抗Z=(18+j24)Ω,则图中功率表读数为( )。
A A.5134W B B.997W C C.1772W D D.7667W
查看
刷题小程序
热门试卷
电气工程师《(供配电)专业基础》模拟卷1
电气工程师《(供配电)专业基础》模拟卷2
电气工程师《(供配电)专业基础》模拟卷3
电气工程师《(供配电)专业基础》模拟卷4
电气工程师《(发输变电)专业基础》模拟卷1
电气工程师《(发输变电)专业基础》模拟卷2
电气工程师《(发输变电)专业基础》模拟卷3
电气工程师《(发输变电)专业基础》模拟卷4
电气工程师《(发输变电)专业基础》模拟卷5
电气工程师《(发输变电)专业基础》模拟卷6
电气工程师《(发输变电)专业基础》预测卷1
电气工程师《(发输变电)专业基础》预测卷2
电气工程师《(发输变电)专业基础》预测卷3
电气工程师《(供配电)专业基础》预测卷1
电气工程师《(供配电)专业基础》预测卷2