首页
考研
最新考研题库
中外美术史23新版
建筑类
二级建造师
一级建造师
一级造价工程师
监理工程师
安全工程师
一级消防工程师
消防设施操作员
医学类
主治类
执业药师
护师(初级)资格证考试
主管护师(中级)资格证考试
护士资格证考试
医师类
中药学类
金融类
基金从业资格
银行从业资格
证券从业资格
期货从业资格
银行招聘考试
财会类
初级经济师
中级经济师
初级会计师
中级会计师
注册会计师
税务师
资产评估师
教师类
中学教师笔试
小学教师笔试
幼儿教师笔试
幼儿结构化面试
幼儿专业面试
中小学结构化面试
学历提升
成考(专升本)
成考(高起本、高起专)
自考
网校课程
登录
注册好礼
我的主页
我的提问
我的回答
退出
当前位置:
首页
>
电气工程师基础专业知识(基础考试)
>
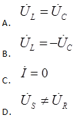
单选题 电路如图所示,保持不变,发生串联谐振所满足的条件是( )。
单选
单选题 电路如图所示,保持不变,发生串联谐振所满足的条件是( )。
A A
B B
C C
D D
E E
正确答案
B
查看解析
搜索
相关试题
单选
电路如图所示,其戴维南等效电路的开路电压和等效电阻分别是( )。
A 0V,8Ω B 0V,4Ω C 4V,8Ω D 4V,4Ω
查看
单选
一阶电路的全响应可以分解为稳态分量和( )。
A 固态分量 B 暂态分量 C 静态分量 D 状态分量
查看
单选
电路如图所示,如果I3=1A,则Is及其端电压U分别是( )。
A -3A,16V B -3A,-16V C 3A,16V D 3A,-16V
查看
单选
单选题 电路如图所示,ab端的等效电源是( )。
A A B B C C D D E E
查看
单选
电路如图所示,6Ω电阻上的电压U等于( )。
A 3.6V B -18V C 18V D -3.6V
查看
单选
已知某二阶电路的微分方程为。则该电路的响应性质是( )。
A 无阻尼振荡 B 衰减振荡 C 非振荡 D 振荡发散
查看
单选
单选题 电路如图所示,t=0时开关S闭合,则换路后的UC(t)等于( )。
A A B B C C D D E E
查看
单选
电路如图所示,正弦交流电路在ω=1rad/s时,其等效并联电路元件参数分别是( )。
A R=1Ω,L=1H B R=0.5Ω,L=0.5H C R=2Ω,L=2H D R=1Ω,C=1F
查看
单选
在分界面上的电场强度的切向分量应为( )。
A 连续的 B 不连续的 C 等于零 D 不确定
查看
单选
古代人发现有磁性的石头,称之为天然磁石,其在当时主要用途是( )。
A 生火 B 罗盘 C 雕塑 D 听筒
查看
刷题小程序
热门试卷
2017年电气工程师《(供配电)专业基础》真题卷
2018年电气工程师《(供配电)专业基础》真题卷
2019年电气工程师《(供配电)专业基础》真题卷
2020年电气工程师《(供配电)专业基础》真题卷
2021年电气工程师《(供配电)专业基础》真题卷
2022年电气工程师《(供配电)专业基础》真题卷
2023年电气工程师《(供配电)专业基础》真题卷
2024年电气工程师《(供配电)专业基础》真题卷
2017年电气工程师《(发输变电)专业基础》真题
2018年电气工程师《(发输变电)专业基础》真题
2019年电气工程师《(发输变电)专业基础》真题
2020年电气工程师《(发输变电)专业基础》真题
2021年电气工程师《(发输变电)专业基础》真题
2022年电气工程师《(发输变电)专业基础》真题
2023年电气工程师《(发输变电)专业基础》真题