首页
考研
最新考研题库
中外美术史23新版
建筑类
二级建造师
一级建造师
一级造价工程师
监理工程师
安全工程师
一级消防工程师
消防设施操作员
医学类
主治类
执业药师
护师(初级)资格证考试
主管护师(中级)资格证考试
护士资格证考试
医师类
中药学类
金融类
基金从业资格
银行从业资格
证券从业资格
期货从业资格
银行招聘考试
财会类
初级经济师
中级经济师
初级会计师
中级会计师
注册会计师
税务师
资产评估师
教师类
中学教师笔试
小学教师笔试
幼儿教师笔试
幼儿结构化面试
幼儿专业面试
中小学结构化面试
学历提升
成考(专升本)
成考(高起本、高起专)
自考
网校课程
登录
注册好礼
我的主页
我的提问
我的回答
退出
当前位置:
首页
>
电气工程师基础专业知识(基础考试)
>
单选题 各向同性线性媒质的磁导率为μ,其中存在的磁场磁感应强度 该媒质内的磁化强度为( )。
单选
单选题 各向同性线性媒质的磁导率为μ,其中存在的磁场磁感应强度
该媒质内的磁化强度为( )。
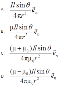
A A
B B
C C
D D
E E
正确答案
D
查看解析
搜索
相关试题
单选
叠加定律不适用于( )。
A A. 电阻电路 B B. 线性电路 C C. 非线性电路 D D. 电阻电路和线性电路
查看
单选
A A. 1.5W B B. 3.5W C C. 6.5W D D. 8.0W E
查看
单选
已知一端口的电压u=100cos(ωt+60°)V,电流i=5cos(ωt+30°)A,其功率因数是( )。
A A. 1 B B. 0 C C. 0.866 D D. 0.5 E
查看
单选
图示电路,R1=R2=R3=R4=R5=3Ω,其ab端的等效电阻是( )。
A A. 3Ω B B. 4Ω C C. 9Ω D D. 6Ω E
查看
单选
图示电路,t=0时,开关S由1扳向2,在t≤0时电路已达稳态,电感和电容元件的初始值i(0+)和uC(0+)分别是( )。
A A. 4A,20V B B. 4A,15V C C. 3A,20V D D. 3A,15V E
查看
单选
图示电路中,已知 电路消耗功率P=5W,C=0.2μF,L=1H,电路中电阻R的值为( )。
A A. 10Ω B B. 5Ω C C. 15Ω D D. 20Ω
查看
单选
无线大真空中有一半径为a的球,内部均匀分布有体电荷,电荷总量为q,在r<a的球内部,任意-r处电场强度的大小 为( )V/m。
A A. qr/(4πε0a) B B. qr/(4πε0a2) C C. q/(4πε0r2) D D. qr/(4πε0a3)
查看
单选
无损耗传输线的原参数为L0=1.3×10^-3H/km,C0=8.6×10^-9F/km,若使该路线工作在匹配状态,则终端应接多大的负载( )。
A A. 289Ω B B. 389Ω C C. 489Ω D D. 589Ω
查看
单选
关于基尔霍夫电压定律,下面说法错误的是( )。
A A. 适用于线性电路 B B. 适用于非线性电路 C C. 适用于电路的任何一个结点 D D. 适用于电路中的任何一个回路
查看
单选
功率表测量的功率是( )。
A A. 瞬时功率 B B. 无功功率 C C. 视在功率 D D. 有功功率
查看
刷题小程序
热门试卷
2017年电气工程师《(供配电)专业基础》真题卷
2018年电气工程师《(供配电)专业基础》真题卷
2019年电气工程师《(供配电)专业基础》真题卷
2020年电气工程师《(供配电)专业基础》真题卷
2021年电气工程师《(供配电)专业基础》真题卷
2022年电气工程师《(供配电)专业基础》真题卷
2023年电气工程师《(供配电)专业基础》真题卷
2024年电气工程师《(供配电)专业基础》真题卷
2017年电气工程师《(发输变电)专业基础》真题
2018年电气工程师《(发输变电)专业基础》真题
2019年电气工程师《(发输变电)专业基础》真题
2020年电气工程师《(发输变电)专业基础》真题
2021年电气工程师《(发输变电)专业基础》真题
2022年电气工程师《(发输变电)专业基础》真题
2023年电气工程师《(发输变电)专业基础》真题