首页
考研
最新考研题库
中外美术史23新版
建筑类
二级建造师
一级建造师
一级造价工程师
监理工程师
安全工程师
一级消防工程师
消防设施操作员
医学类
主治类
执业药师
护师(初级)资格证考试
主管护师(中级)资格证考试
护士资格证考试
医师类
中药学类
金融类
基金从业资格
银行从业资格
证券从业资格
期货从业资格
银行招聘考试
财会类
初级经济师
中级经济师
初级会计师
中级会计师
注册会计师
税务师
资产评估师
教师类
中学教师笔试
小学教师笔试
幼儿教师笔试
幼儿结构化面试
幼儿专业面试
中小学结构化面试
学历提升
成考(专升本)
成考(高起本、高起专)
自考
网校课程
登录
注册好礼
我的主页
我的提问
我的回答
退出
当前位置:
首页
>
电气工程师公共基础(基础考试)
>
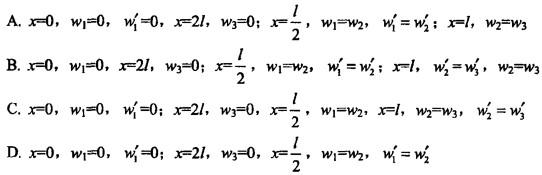
单项选择题 用积分法计算图5-42所示梁的挠度,其边界条件和连续条件为( )。
单选
单项选择题 用积分法计算图5-42所示梁的挠度,其边界条件和连续条件为( )。
A A
B B
C C
D D
E E
正确答案
A
查看解析
搜索
相关试题
单选
单项选择题 速度v、长度l、重力加速度g组成的无量纲数可表达为( )。 A.lv/g B.l/gv C.v2/gl D. g/lv2
A A B B C C D D E E
查看
单选
单项选择题 均质细直杆OA长为l,质量为m,A端固结一质量为m的小球(不计尺寸),如图4-76所示。当OA杆以匀角速度ω绕O轴转动时,该系统对O轴的动量矩为()
A A B B C C D D E E
查看
单选
单项选择题 信息有多个特征,下列四条关于信息特征的叙述中,有错误的一条是()。 A.信息的可识别性,信息的可变性,信息的可流动性 B.信息的可处理性,信息的可存
A A B B C C D D E E
查看
单选
单项选择题 矩形截面梁高度为h,宽为b,在横力弯曲时切应力的分布规律为( )。 A.沿截面高度均匀分布 B.沿截面宽度均匀分布 C.沿截面高度线性分布 D.沿截
A A B B C C D D E E
查看
单选
单项选择题 Windows配备了“系统工具”,使用这些系统工具的作用是()。 A.格式化磁盘 B.给磁盘作标签C.维护磁盘 D.访问磁盘
A A B B C C D D E E
查看
单选
单项选择题 设A为矩阵,都是齐次线性方程组Ax=0的解,则矩阵A为( )。
A A B B C C D D E E
查看
单选
单项选择题 在等直梁平面弯曲的挠曲线上,曲率最大值发生在下面哪项的截面为( )。 A.挠度最大 B.转角最大 C.弯矩最大 D.剪力最大
A A B B C C D D E E
查看
单选
单项选择题 对称三相负载接成三角形,功率为2.4kW,功率因数0.6,已知电源线电压UL=380V,通过负载的电流为()A。 A.6.08 B.3.51 C.1
A A B B C C D D E E
查看
单选
单项选择题 化学反应低温自发,高温非自发( )。
A A B B C C D D E E
查看
单选
单项选择题 在真空中,可见光的波长范围是( )。 A. 400~760nm B. 400~760mm C. 400~760cm D. 400~760m
A A B B C C D D E E
查看
刷题小程序
热门试卷
电气工程师《公共基础》模拟卷1
电气工程师《公共基础》模拟卷2
电气工程师《公共基础》模拟卷3
电气工程师《公共基础》模拟卷4
电气工程师《公共基础》模拟卷5
电气工程师《公共基础》模拟卷6
电气工程师《公共基础》模拟卷7
电气工程师《公共基础》模拟卷8
电气工程师《公共基础》预测卷1
电气工程师《公共基础》预测卷2
电气工程师《公共基础》预测卷3
电气工程师《公共基础》预测卷4
电气工程师《公共基础》预测卷5
电气工程师《公共基础》预测卷6