首页
考研
最新考研题库
中外美术史23新版
建筑类
二级建造师
一级建造师
一级造价工程师
监理工程师
安全工程师
一级消防工程师
消防设施操作员
医学类
主治类
执业药师
护师(初级)资格证考试
主管护师(中级)资格证考试
护士资格证考试
医师类
中药学类
金融类
基金从业资格
银行从业资格
证券从业资格
期货从业资格
银行招聘考试
财会类
初级经济师
中级经济师
初级会计师
中级会计师
注册会计师
税务师
资产评估师
教师类
中学教师笔试
小学教师笔试
幼儿教师笔试
幼儿结构化面试
幼儿专业面试
中小学结构化面试
学历提升
成考(专升本)
成考(高起本、高起专)
自考
网校课程
登录
注册好礼
我的主页
我的提问
我的回答
退出
当前位置:
首页
>
电气工程师公共基础(基础考试)
>
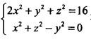
单项选择题 空间曲线在xOy平面的投影方程是()。
单选
单项选择题 空间曲线
在xOy平面的投影方程是()。
A A
B B
C C
D D
E E
正确答案
D
查看解析
搜索
相关试题
单选
单项选择题 如图7-69所示,时钟到来后,JK具有()功能。 A.计数器 B.输出清“0” C.输出置“1” D.输出保持
A A B B C C D D E E
查看
单选
单项选择题 不经计算,通过直接判定得出图4-27所示桁架中内力为零的杆数为( )。 A. 2根 B. 3根 C. 4根 D. 5根
A A B B C C D D E E
查看
单选
单项选择题 如果计算机字长是8位,那么用补码表示最大有符号定点整数的范围是() A.-128~+128 B.-127~+128 C.-127~+127 D.—1
A A B B C C D D E E
查看
单选
单项选择题 重力大小为W的物块能在倾斜角为粗糙斜面上下滑,为了维持物块在斜面上平衡,在物块上作用向左的水平力FQ (图4-30)。在求解力FQ的大小时,物块与斜
A A B B C C D D E E
查看
单选
单项选择题 在对一产品进行价值工程分析的过程中,得到该产品的四个功能甲、乙、丙、丁 的价值系数分别为0.7、0.8、1.1、1.2,由此可得价值工程的改进对象应
A A B B C C D D E E
查看
单选
单项选择题 图4-24所示平面桁架的尺寸与载荷均已知。其中,杆1的内力大小Fs1为( )。
A A B B C C D D E E
查看
单选
单项选择题 已知平面π过点(1,1,0)、(0,0,1), (0,1,1),则与平面π垂直且过点(1,1,1)的直线的对称方程为( )。
A A B B C C D D E E
查看
单选
单项选择题 如图6-4所示,用U形水银压差计测量水管A、B两点的压强差,水银面高hp=10cm, A、B两点压强差为( )kPa。 A. 13.33 B. 12
A A B B C C D D E E
查看
单选
单项选择题 下列级数中,发散的级数是( )。
A A B B C C D D E E
查看
单选
单项选择题 在计算机中,断电后失去信息的存储器是()。 A.随机读写存储器B.硬盘 C.U盘 D.只读存储器
A A B B C C D D E E
查看
刷题小程序
热门试卷
电气工程师《公共基础》模拟卷1
电气工程师《公共基础》模拟卷2
电气工程师《公共基础》模拟卷3
电气工程师《公共基础》模拟卷4
电气工程师《公共基础》模拟卷5
电气工程师《公共基础》模拟卷6
电气工程师《公共基础》模拟卷7
电气工程师《公共基础》模拟卷8
电气工程师《公共基础》预测卷1
电气工程师《公共基础》预测卷2
电气工程师《公共基础》预测卷3
电气工程师《公共基础》预测卷4
电气工程师《公共基础》预测卷5
电气工程师《公共基础》预测卷6