首页
考研
最新考研题库
中外美术史23新版
建筑类
二级建造师
一级建造师
一级造价工程师
监理工程师
安全工程师
一级消防工程师
消防设施操作员
医学类
主治类
执业药师
护师(初级)资格证考试
主管护师(中级)资格证考试
护士资格证考试
医师类
中药学类
金融类
基金从业资格
银行从业资格
证券从业资格
期货从业资格
银行招聘考试
财会类
初级经济师
中级经济师
初级会计师
中级会计师
注册会计师
税务师
资产评估师
教师类
中学教师笔试
小学教师笔试
幼儿教师笔试
幼儿结构化面试
幼儿专业面试
中小学结构化面试
学历提升
成考(专升本)
成考(高起本、高起专)
自考
网校课程
登录
注册好礼
我的主页
我的提问
我的回答
退出
当前位置:
首页
>
电气工程师公共基础(基础考试)
>
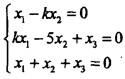
单项选择题 设齐次方程组,当方程组有非零解时,k值为( )。 A. -2或3 B. 2或3 C. 2或-3 D. -2或
单选
单项选择题 设齐次方程组
,当方程组有非零解时,k值为( )。
A. -2或3 B. 2或3 C. 2或-3 D. -2或-3
A A
B B
C C
D D
E E
正确答案
A
查看解析
搜索
相关试题
单选
单项选择题 点电荷+q和点电荷-q相距30cm,那么,在由它们构成的静电场中( )。 A.电场强度处处相等 B.在两个点电荷连线的中点位置,电场力为零 C.电场
A A B B C C D D E E
查看
单选
单项选择题 在正常工作条件下,作用水头H、直径d相等时,小孔口的流量Q和圆柱形外管嘴的流量Qn( )。 A. Q>Qn B. Q=Qn C. Qn D.不定
A A B B C C D D E E
查看
单选
单项选择题 支持Internet扩展服务协议是()。 A.OSI B.IPX/SPX C.TCP/IP D.CSMA/SD
A A B B C C D D E E
查看
单选
单项选择题 如图6-6所示,a、b两种液体,两种液体的体积密度之比γa/γb为()。 A. 0.6 B. 0.7 C. 0.8 D. 0.9
A A B B C C D D E E
查看
单选
单项选择题 某点的真空压强为65 000Pa,当地大气压为0.1MPa,该点的绝对压强为( )Pa。 A. 65 000 B. 55 000 C. 35 000
A A B B C C D D E E
查看
单选
单项选择题 图5-63所示变截面短杆,AB段的压应力与BC段压应力σBC的关系是( )。 A. σAB比 大σBC 1/4 B. σAB比σBC小 1/4 C.
A A B B C C D D E E
查看
单选
单项选择题 某项目不确定因素为建设投资、经营成本、销售价格和原材料价格,如果这四个 因素分别向不利方向变化20%、12%、7%和10%时,项目的财务内部收益率均
A A B B C C D D E E
查看
单选
单项选择题 设n阶矩阵A可逆,α是A的属于特征值λ的特征向量,则下列结论中不正确的是( )。 A. α是矩阵-2A的属于特征值-2λ的特征向量 D. α是矩阵A
A A B B C C D D E E
查看
单选
单项选择题 如图5-50所示构件上a点处的应力状态为( )。 A.图(b) B.图(c) C.图(d) D.图(e)
A A B B C C D D E E
查看
单选
单项选择题 以下特性中不属于股票融资的特点是( )。 A.股票融资所筹资金是项目的股本资金,可增强公司的举债能力 B.股票融资所筹资金具有永久性,无到期日,不需
A A B B C C D D E E
查看
刷题小程序
热门试卷
电气工程师《公共基础》模拟卷1
电气工程师《公共基础》模拟卷2
电气工程师《公共基础》模拟卷3
电气工程师《公共基础》模拟卷4
电气工程师《公共基础》模拟卷5
电气工程师《公共基础》模拟卷6
电气工程师《公共基础》模拟卷7
电气工程师《公共基础》模拟卷8
电气工程师《公共基础》预测卷1
电气工程师《公共基础》预测卷2
电气工程师《公共基础》预测卷3
电气工程师《公共基础》预测卷4
电气工程师《公共基础》预测卷5
电气工程师《公共基础》预测卷6