首页
考研
最新考研题库
中外美术史23新版
建筑类
二级建造师
一级建造师
一级造价工程师
监理工程师
安全工程师
一级消防工程师
消防设施操作员
医学类
主治类
执业药师
护师(初级)资格证考试
主管护师(中级)资格证考试
护士资格证考试
医师类
中药学类
金融类
基金从业资格
银行从业资格
证券从业资格
期货从业资格
银行招聘考试
财会类
初级经济师
中级经济师
初级会计师
中级会计师
注册会计师
税务师
资产评估师
教师类
中学教师笔试
小学教师笔试
幼儿教师笔试
幼儿结构化面试
幼儿专业面试
中小学结构化面试
学历提升
成考(专升本)
成考(高起本、高起专)
自考
网校课程
登录
注册好礼
我的主页
我的提问
我的回答
退出
当前位置:
首页
>
电气工程师公共基础(基础考试)
>
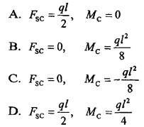
单项选择题 如图5-23所示梁,跨中C截面的剪力和弯矩值分别为()。
单选
单项选择题 如图5-23所示梁,跨中C截面的剪力和弯矩值分别为()。
A A
B B
C C
D D
E E
正确答案
B
查看解析
搜索
相关试题
单选
单项选择题 已知柠檬醛的结构式为 判断下列说法不正确的是( )。 A.它可使KMnO4溶液褪色 B.它可与银氨溶液发生银镜反应 C.它可使溴水褪色 D.它在催化
A A B B C C D D E E
查看
单选
单项选择题 如图5-14所示等截面圆轴上装有四个带轮,合理安排为()。 A.将轮C与D轮对调 B.将轮B与轮D对调 C.将轮B与轮C对调 D.将轮B与轮D对调,
A A B B C C D D E E
查看
单选
单项选择题 能同时溶解Zn(OH)2、AgI 和Fe(OH)3三种沉淀的试剂是( )。 A.氨水 B.草酸 C. KCN溶液 D.盐酸
A A B B C C D D E E
查看
单选
单项选择题 如图7-45所示的控制电路中,交流接触器KM1、KM2分别控制电动机M1、M2(主电路未画出),当按下SB2后,电路的工作情况为()。 A. KM1
A A B B C C D D E E
查看
单选
单项选择题 如图4-72所示,质量为m1的均质杆OA, 一端较接在质量为m2的均质圆盘中心, 另一端放在水平面上,圆盘在地面上作纯滚动。圆心速度为v,则系统的动
A A B B C C D D E E
查看
单选
单项选择题 有一群人受某种疾病感染患病的比例占20%。现随机地从他们中抽50人,则其中患病人数的数学期望和方差是( )。 A. 25 和 8 B. 10 和 2
A A B B C C D D E E
查看
单选
单项选择题 矩形渠道断面宽度4m,水深2m,流量8m3/s,渠底坡度为0.0001,其粗糙系数为( )。 A. 0.005 B. 0.01 C. 0.02 D.
A A B B C C D D E E
查看
单选
单项选择题 如图6-11所示,水库上下游水深h1=6m、 h2=5m,闸板高h=3m,宽1m。则闸板上的水压力为( )kN。 A. 29.4 B. 58.8 C
A A B B C C D D E E
查看
单选
单项选择题 在一定温度下,反应2CO(g)+O2(g)2CO2(g)的Kp与Kc之间的关系正确的是 ( )。 A. Kp=Kc B. Kp=Kc(RT) C.
A A B B C C D D E E
查看
单选
单项选择题 平面平行力系处于平衡,应有独力平衡方程的个数为( )。 A. 1个 B. 2个 C. 3个 D. 4个
A A B B C C D D E E
查看
刷题小程序
热门试卷
电气工程师《公共基础》模拟卷1
电气工程师《公共基础》模拟卷2
电气工程师《公共基础》模拟卷3
电气工程师《公共基础》模拟卷4
电气工程师《公共基础》模拟卷5
电气工程师《公共基础》模拟卷6
电气工程师《公共基础》模拟卷7
电气工程师《公共基础》模拟卷8
电气工程师《公共基础》预测卷1
电气工程师《公共基础》预测卷2
电气工程师《公共基础》预测卷3
电气工程师《公共基础》预测卷4
电气工程师《公共基础》预测卷5
电气工程师《公共基础》预测卷6