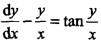
单项选择题 微分方程
的通解是( )。

A A
B B
C C
D D
E E
单项选择题 下列溶液混合,属于缓冲溶液的是( )。 A. 50ml0.2mol/L-1CH3COOH 和 50ml 0.1 mol/L-1 NaOH 混合 B.
A A B B C C D D E E
查看
单项选择题 按照我国《合同法》第33条的规定,当事人采用信件、数据电文等形式订立合 同的,若合同要成立,对确认书的要求是( )。 A.可以在合同成立之后要求签订
A A B B C C D D E E
查看
单项选择题 光滑铜管内径d=10mm,平均流速1m/s,流体的运动黏性系数为1x10-6m2/s,则 其沿程损失系数是( )。 A. 0.032 B. 0.04
A A B B C C D D E E
查看
单项选择题 质量为m,半径为R的均质圆盘,绕垂直于图面的水平轴O转动,其角速度为ω,在图4-78示瞬时,角加速度为零,盘心C在其最低位置,此时将圆盘的惯性力系向
A A B B C C D D E E
查看
单项选择题 如图6-5所示,垂直放置的矩形平板挡水,水深3m,静水总压力P的作用点到水面的距离yD为( )m。 A. 1.25 B. 1.5 C. 2 D. 2
A A B B C C D D E E
查看
单项选择题 某项目建设工期为两年,第一年投资200万元,第二年投资300万元,投产后每 年净现金流量为150万元,项目计算期为10年,基准收益率10%,则此项目
A A B B C C D D E E
查看
单项选择题 已知平面π过点(1,1,0)、(0,0,1), (0,1,1),则与平面π垂直且过点(1,1,1)的直线的对称方程为( )。
A A B B C C D D E E
查看
单项选择题 在等直梁平面弯曲的挠曲线上,曲率最大值发生在下面哪项的截面为( )。 A.挠度最大 B.转角最大 C.弯矩最大 D.剪力最大
A A B B C C D D E E
查看
单项选择题 求过点M(3,-2,1)且与直线平行的直线方程是()。
A A B B C C D D E E
查看
单项选择题 设齐次方程组,当方程组有非零解时,k值为( )。 A. -2或3 B. 2或3 C. 2或-3 D. -2或-3
A A B B C C D D E E
查看