首页
考研
最新考研题库
中外美术史23新版
建筑类
二级建造师
一级建造师
一级造价工程师
监理工程师
安全工程师
一级消防工程师
消防设施操作员
医学类
主治类
执业药师
护师(初级)资格证考试
主管护师(中级)资格证考试
护士资格证考试
医师类
中药学类
金融类
基金从业资格
银行从业资格
证券从业资格
期货从业资格
银行招聘考试
财会类
初级经济师
中级经济师
初级会计师
中级会计师
注册会计师
税务师
资产评估师
教师类
中学教师笔试
小学教师笔试
幼儿教师笔试
幼儿结构化面试
幼儿专业面试
中小学结构化面试
学历提升
成考(专升本)
成考(高起本、高起专)
自考
网校课程
登录
注册好礼
我的主页
我的提问
我的回答
退出
当前位置:
首页
>
电气工程师公共基础(基础考试)
>
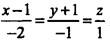
单项选择题 设直线的方程为,则直线()。 A.过点(1,-1,0),方向向量为2i+j-k B.过点(1,-1,0),方
单选
单项选择题 设直线的方程为
,则直线()。
A.过点(1,-1,0),方向向量为2i+j-k
B.过点(1,-1,0),方向向量为2i-j+k
C.过点(-1,1,0),方向向量为-2i-j+k
D.过点(-1,1,0),方向向量为2i+j-k
A A
B B
C C
D D
E E
正确答案
A
查看解析
搜索
相关试题
单选
单项选择题 下列溶液混合,属于缓冲溶液的是( )。 A. 50ml0.2mol/L-1CH3COOH 和 50ml 0.1 mol/L-1 NaOH 混合 B.
A A B B C C D D E E
查看
单选
单项选择题 按照我国《合同法》第33条的规定,当事人采用信件、数据电文等形式订立合 同的,若合同要成立,对确认书的要求是( )。 A.可以在合同成立之后要求签订
A A B B C C D D E E
查看
单选
单项选择题 光滑铜管内径d=10mm,平均流速1m/s,流体的运动黏性系数为1x10-6m2/s,则 其沿程损失系数是( )。 A. 0.032 B. 0.04
A A B B C C D D E E
查看
单选
单项选择题 质量为m,半径为R的均质圆盘,绕垂直于图面的水平轴O转动,其角速度为ω,在图4-78示瞬时,角加速度为零,盘心C在其最低位置,此时将圆盘的惯性力系向
A A B B C C D D E E
查看
单选
单项选择题 如图6-5所示,垂直放置的矩形平板挡水,水深3m,静水总压力P的作用点到水面的距离yD为( )m。 A. 1.25 B. 1.5 C. 2 D. 2
A A B B C C D D E E
查看
单选
单项选择题 某项目建设工期为两年,第一年投资200万元,第二年投资300万元,投产后每 年净现金流量为150万元,项目计算期为10年,基准收益率10%,则此项目
A A B B C C D D E E
查看
单选
单项选择题 已知平面π过点(1,1,0)、(0,0,1), (0,1,1),则与平面π垂直且过点(1,1,1)的直线的对称方程为( )。
A A B B C C D D E E
查看
单选
单项选择题 在等直梁平面弯曲的挠曲线上,曲率最大值发生在下面哪项的截面为( )。 A.挠度最大 B.转角最大 C.弯矩最大 D.剪力最大
A A B B C C D D E E
查看
单选
单项选择题 求过点M(3,-2,1)且与直线平行的直线方程是()。
A A B B C C D D E E
查看
单选
单项选择题 设齐次方程组,当方程组有非零解时,k值为( )。 A. -2或3 B. 2或3 C. 2或-3 D. -2或-3
A A B B C C D D E E
查看
刷题小程序
热门试卷
电气工程师《公共基础》模拟卷1
电气工程师《公共基础》模拟卷2
电气工程师《公共基础》模拟卷3
电气工程师《公共基础》模拟卷4
电气工程师《公共基础》模拟卷5
电气工程师《公共基础》模拟卷6
电气工程师《公共基础》模拟卷7
电气工程师《公共基础》模拟卷8
电气工程师《公共基础》预测卷1
电气工程师《公共基础》预测卷2
电气工程师《公共基础》预测卷3
电气工程师《公共基础》预测卷4
电气工程师《公共基础》预测卷5
电气工程师《公共基础》预测卷6