首页
考研
最新考研题库
中外美术史23新版
建筑类
二级建造师
一级建造师
一级造价工程师
监理工程师
安全工程师
一级消防工程师
消防设施操作员
医学类
主治类
执业药师
护师(初级)资格证考试
主管护师(中级)资格证考试
护士资格证考试
医师类
中药学类
金融类
基金从业资格
银行从业资格
证券从业资格
期货从业资格
银行招聘考试
财会类
初级经济师
中级经济师
初级会计师
中级会计师
注册会计师
税务师
资产评估师
教师类
中学教师笔试
小学教师笔试
幼儿教师笔试
幼儿结构化面试
幼儿专业面试
中小学结构化面试
学历提升
成考(专升本)
成考(高起本、高起专)
自考
网校课程
登录
注册好礼
我的主页
我的提问
我的回答
退出
当前位置:
首页
>
电气工程师公共基础(基础考试)
>
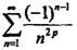
单项选择题 级数 ( )。 A.当p>1/2时,绝对收敛 B.当p>1/2时,条件收敛 C.当0
单选
单项选择题 级数
( )。
A.当p>1/2时,绝对收敛 B.当p>1/2时,条件收敛
C.当0
A A
B B
C C
D D
E E
正确答案
A
查看解析
搜索
相关试题
单选
单项选择题 理想流体是( )。 A.无黏性流体 B.不可压缩流体 C.符合牛顿内摩擦定律的流体 D.静止的流体
A A B B C C D D E E
查看
单选
单项选择题 国家实行有利于节能和环境保护的产业政策,( ),发展节能环保型产业。 A.鼓励发展重化工业 B.鼓励发展第三产业 C.限制发展高耗能、资源性行业 D
A A B B C C D D E E
查看
单选
单项选择题 点 M(1,2,1)到平面x+ 2y+2z= 10的距离是( )。 A.1 B. 土 1 C. -1 D. 1/3
A A B B C C D D E E
查看
单选
单项选择题 图4-19所示三铰支架上作用两个转向相反、大小相等且不为零的力偶m1和m2,支架自重不计。则支座B的约束力为( )。 A. FB = 0 B. FB
A A B B C C D D E E
查看
单选
单项选择题 如图9-3所示,非周期信号的时域描述形式为()。 A. u(t)=[10x1(t-3)-10X1(t-6)]V B.u(t)=[3x1(t-3)-1
A A B B C C D D E E
查看
单选
单项选择题 两种摩尔质量不同的理想气体,它们的压强、温度相同,体积不同,则它们的( )。 A.单位体积内的分子数不同 B.单位体积内气体的质量相同 C.单位体积
A A B B C C D D E E
查看
单选
单项选择题 设X服从参数为1的指数分布,则E(X+e-X)( )。 A.3/2 B. 1 C. 5/3 D.3/4
A A B B C C D D E E
查看
单选
单项选择题 袋中共有5个球,其中3个新球,2个旧球,每次取1个,无放回的取2次,则第二次取到新球的概率是()。 A. 3/5 B. 3/4 C. 2/4 D.3
A A B B C C D D E E
查看
单选
单项选择题 三铰拱上作用有大小相等、转向相反的两个力偶,其力偶矩大小为如图4-12所示。略去自重,则支座A的约束力大小为( )。
A A B B C C D D E E
查看
单选
单项选择题 某公司建设一个项目,初期投资为1000万元,要求年收益率为15%,为了保证 在5年内收回全部投资,则每年至少要等额回收资金( )万元。 A. 233
A A B B C C D D E E
查看
刷题小程序
热门试卷
电气工程师《公共基础》模拟卷1
电气工程师《公共基础》模拟卷2
电气工程师《公共基础》模拟卷3
电气工程师《公共基础》模拟卷4
电气工程师《公共基础》模拟卷5
电气工程师《公共基础》模拟卷6
电气工程师《公共基础》模拟卷7
电气工程师《公共基础》模拟卷8
电气工程师《公共基础》预测卷1
电气工程师《公共基础》预测卷2
电气工程师《公共基础》预测卷3
电气工程师《公共基础》预测卷4
电气工程师《公共基础》预测卷5
电气工程师《公共基础》预测卷6